• 대한전기학회
Mobile QR Code QR CODE : The Transactions of the Korean Institute of Electrical Engineers
  • COPE
  • kcse
  • 한국과학기술단체총연합회
  • 한국학술지인용색인
  • Scopus
  • crossref
  • orcid

  1. (Dept. of Electrical Engineering, Dongshin University, Republic of Korea. )



CT, EMT, Jiles-Atherton Model, Hysteresis Curve, Magnetizing Inrush, PSCAD, Three Phase Three Winding Transformer System

1. 서 론

전력용 변압기는 중요하고 비싼 구성요소이다. CT는 변압기의 개폐, 여자 돌입 및 고장 등의 과도상태 중에도 불구하고 계전 신호를 IED(Intelligent Electronic Device)에 오류 없이 정확도를 유지하며 전달 해주어야 한다. 따라서 CT의 특성 및 분류가 정립되어야 뿐만 아니라 CT의 왜곡되는 조건 및 상황이 분석되어야 한다. 또한, 보호계전시스템에 미치는 영향이 적도록 올바른 CT 선택, 응용 및 대책이 절실히 요구된다[1-3]. IED의 동작에 필요한 계전 신호의 실효치는 포화 시점보다 포화 정도에 더 큰 영향을 받는다. CT 자성체의 포화와 포화에 따른 2차 전류의 변환을 고려한 IED의 오동작을 방지하기 위하여 ATP/EMTP, EMTP_RV, ATPDraw, PSCAD, DIgSILENT 등의 EMT 도구가 모델링 및 과도 해석 시뮬레이션에 많이 사용되고 있다[4,5].

변압기 및 CT 관련 국내의 연구 동향에서, EMTP_RV에서 제공하는 포화 변압기 모델과 비선형소자를 이용한 여자돌입 모델링을 다루며 잔류 자속을 변경하는 방안이 제시되었고[6], 3권선 변압기 및 철공진 억제 회로의 비선형 특성을 고려하여 CCVT(Coupling Capacitor Voltage Transformer)의 모델링과 성능이 검증되었다[7]. 2차 전압-철손 전류 곡선과 자속 쇄교-자화(flux linkage-magnetizing) 전류 곡선을 고려한 측정용 CT 2차 전류에 관한 보상 알고리즘을 통하여 CT의 크기와 비용을 줄일 수 있었고[8], 비선형 포화특성(Nonlinear Saturation Characteristics)을 반영한 RTDS CT 모델이 개발되었다[9]. 최근에는, EMTP의 보조 프로그램인 HYSDAT를 이용하여 철심의 자기포화 특성을 고려한 CT 모델링 기법에 관한 연구가 수행되었고[10], 3권선 전력용 변압기의 EMT 기반 RDR 및 DWT(Discrete Wavelet Transform) 보호 기법에 관한 비교 시뮬레이션이 출판되었다[11].

변압기 및 CT 관련 해외의 연구 동향에서, 거듭제곱 급수(power series)를 사용하여 넓은 영역의 자화 곡선(Magnetization Curve)을 표현하였고[12], 전압과 전류의 실효치 곡선과 정격 주파수에서 무부하 손실을 기반으로 변압기 철심의 포화 특성을 계산하는 알고리즘[13], EMTP Models를 이용한 전력 계통의 과도현상과 계전기 응답 모델링 기법이 제시되었다[14]. 과도 조건에서의 보호 CT 모델 비교를 위하여, ATP(Alternative Transients Program) 소프트웨어가 사용되었고[15], PSCAD에서 Jiles-Atherton 모델을 사용한 변압기 여자 돌입 과도현상이 분석되었고[16], DIgSILENT에서 개선된 CT 모델을 제시하고 검증하였다[17]. 최근에는, 전력용 변압기의 내부 권선 단락(ITSCs, inter-turn short-circuits)을 조기에 검출하기 위하여 전기 변수 모니터링을 기반으로 전략이 제시되었고[18], CT 포화를 고려한 변압기용 DWT를 사용한 향상된 적응형 차등 보호가 수행되었다[19]. 또한, CT 포화로 인해 왜곡된 전류를 사용하는 대신에 고장 위치 절차에 입력할 전류를 추정하는 기법이 고안되었고[20], Jiles-Atherton 모델을 사용하여 오픈 소스 회로 시뮬레이터에서 연성 자성 재료(Soft Magnetic Materials)의 자기 특성을 정의하는 인덕터 회로 요소를 제안하였다[21].

본 논문에서는 3권선 변압기 계통의 비선형 CT 포화를 고려한 과도 분석을 수행한다. 먼저, 비선형 CT 자성체를 위한 Jiles-Atherton 모델 방정식을 정형화한다. 국내 실제 3상 3권선 변압기 계통을 선정한 후, 관련된 계통 정수를 수집한다. EMT 도구인 PSCAD를 이용한 CT 기반 3상 3권선 변압기 계통을 모델링한 후, 정상상태의 유효성을 확인한다. 다양한 조건의 시뮬레이션을 수행하여, 제시한 Jiles-Atherton 모델 CT의 특성을 기술한다. 끝으로 여자 돌입과 고장상태의 히스테리시스 곡선과 과도 전류를 분석하고 평가한다.

2. 자성체의 정형화 모델

2.1 Lucas 모델

비 정수 거듭제곱 급수를 사용하여 넓은 영역에 걸친 자화 곡선 표현 증분 투자율 곡선을 포함한 자화 곡선을 표현할 수 있다. Lucas 모델의 자화 곡선은 초기 및 고 자속 밀도 영역의 두 영역으로 나눌 수 있다. 초기 영역은 식 (1)로, 고 자속 밀도영역은 식 (2)와 같이 각각 나타낼 수 있다.

(1)
$H=k_{1}B^{n_{1}}$ ($n_{1}<1,\: k_{1}>0$)
(2)
$H=k_{2}B^{n_{2}}$ ($n_{2}>1,\: k_{2}>0$)

여기서, $B$는 자속 밀도, $H$는 자기장, $k_{i}$는 $i^{th}$ 항의 상수이다.

전체 자화 곡선의 근사 표현은 식 (3)과 같은 $B$의 거듭제곱 형태로 나타낼 수 있다.

(3)
$H=\sum k_{i}B^{n_{i}}$ ($k_{i}>0,\: n_{i}>0$)

여기서, 모든 $i$번째에서 $k_{i}<0$, $n_{i}>0$ 일 때이다. $k_{i}$는 $H$와 증분 투자율이 진동 없이 원활하게 변하도록 의도적으로 계수로 선택된다. 자화 곡선을 매끄럽게 연결할 수 있고 점진적인 투자율의 변화를 자연스럽게 반영할 수 있다[12].

2.2 Jiles-Atherton 모델

Jiles-Atherton(J-A) 모델은 도메인 벽 운동과 고정 효과로 인해 소모되는 에너지 측면에서 재료의 자기적 특성을 정형화한다. $B$, 자기 모멘트 $M$, $H$ 및 유효 자기장 강도 $H_{e}$의 관계는 식 (4)와 같이 나타낼 수 있다[16-18, 21].

(4)
$B=\mu_{0}(H+M)$

$H_{e}=H+\alpha M$

여기서, $\alpha$는 도메인 결합(interdomain coupling), $\mu_{0}$는 공기 투자율(air permeability)이다.

$M$은 식 (5)와 같이 가역적 항 $M_{rev}$와 비가역적 항 $M_{irr}$로 구성되어, 강자성 재료의 자화 현상을 설명할 수 있다.

(5)
$M=M_{irr}+M_{rev}$

$M_{rev}=c(M_{an}-M)$

$\dfrac{d M_{irr}}{d H}=\dfrac{M_{an}-M_{irr}}{\dfrac{\delta k}{\mu_{0}}-\alpha(M_{an}-M_{irr})}$

$M_{an}$은 $H_{e}$의 함수인 비히스테리시스(anhystertic) 자화 곡선으로서 식 (6)과 같이 나타낼 수 있다.

(6)
$M_{an}=M_{sat}\left[\dfrac{1}{\tan h(\dfrac{H_{e}}{a})}-\dfrac{1}{\dfrac{H_{e}}{a}}\right]$

여기서, $H_{e}$는 유효 자기장 강도, $\delta$는 자기장의 강도 $H$의 방향, $c$는 가역적 자화율(reversible susceptibility), $k$는 손실 계수(hold-down coefficient), $M_{sat}$는 포화 자화, $a$는 히스테리시스 자화 곡선의 모양을 나타내는 계수이다.

개선된 J-A 모델은 식 (7)과 같이 유도되어 히스테리시스 자화를 잘 설명할 수 있다.

(7)
$M_{an}=M_{sat}\left[\dfrac{a_{1}H_{e}+H_{e}^{b}}{a_{3}+a_{2}H_{e}+H_{e}^{b}}\right]$

여기서, $a_{1}$, $a_{2}$, $a_{3}$, $b$는 모두 안히스테리시스 자화의 형상 계수이다. B-H 루프의 어깨 영역을 보다 정확하게 모델링하기 위해 새로운 히스테리시스 함수가 ​​요구되었다.

3. J-A 모델 CT 특성 분석

3.1 모델계통

그림 1은 3상 3권선 변압기 모델계통을 나타낸다. 3상 3권선 변압기를 중심으로 1차측에는 345kV 발전기 2기, 2차측에는 발전기 1기와 약 138MVA 부하, 3차측에는 250kVA 부하가 연결된다. 345/161/23kV 600MVA 3상 3권선 변압기 계통의 제반 파라미터를 기반으로 EMT PSCAD를 사용하여 모델링을 수행하였다. 변압기의 각변위는 Ynyn0 d1이며, 파라미터의 %임피던스를 pu값으로 변환한 후, 사용하였다[11].

그림 1. 3상 3권선 변압기 모델계통

Fig. 1. Model system of three phase three winding transformer

../../Resources/kiee/KIEE.2025.74.8.1332/fig1.png

3.2 정상상태 유효성 검증

정상상태 3상 전압 및 전류에서, 3상 전압은 가압 후 약 0.2s 이후 안정화되었으며, 1차측, 2차측, 3차측 전압 RMS는 각각 347.531kV, 161.362kV, 23.021kV이다. 이론치는 각각 347.140kV, 161.310kV, 23.040kV로서 최대 오차가 0.11%이었다. 3상 전류는 가압 후 약 0.2s 이후 안정화되었으며, 1차측, 2차측, 3차측 전류 RMS는 각각 0.508kA, 1.087kA, 0.006kA이다. 이론치는 각각 0.509kA, 1.091kA, 0.006kA로서 최대 오차가 0.93%이었다. 따라서 정상상태 시뮬레이션의 유효성을 확인하였다.

그림 2는 정상상태 히스테리시스(B-H) 곡선을 나타낸다. 안정화된 정상상태 2주기 동안 1사분면 어깨 영역 루프 끝에서 하향 곡선을 나타내면서, 잔류점을 거쳐 3사분면으로 이동하였다가, 보자점을 통과하여 상승곡선을 보이면서 1사분면의 루프 끝으로 이동하는 궤적을 확인하였다. 이때, 양의 포화점은 (109.936, 1.727) 점이고, 음의 포화점은 (-96.836, -1.678) 이었다.

그림 2. 정상상태 히스테리시스 곡선

Fig. 2. Hysteresis curve during steady state

../../Resources/kiee/KIEE.2025.74.8.1332/fig2.png

3.3 J-A 모델 CT 특성

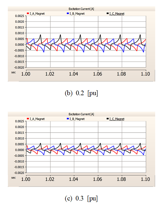
CT의 포화 특성은 공심 리액턴스를 0.1, 0.2, 0.3 [pu]로 가변하면서 자화 전류를 비교한다. 그림 3은 공심 리액턴스 가변에 따른 자화 전류를 나타낸다. 자화 전류 크기는 공심 리액턴스가 증가함에 따라 감소하나 전체적인 형태는 유사한 것을 알 수 있고 공심 리액턴스는 자화 전류 크기를 결정하는 것을 확인하였다.

그림 3. 공심 리액턴스에 따른 자화전류

Fig. 3. Excitation current according to air-core reactance

../../Resources/kiee/KIEE.2025.74.8.1332/fig3-1.png

../../Resources/kiee/KIEE.2025.74.8.1332/fig3-2.png

3.4 히스테리시스 특성

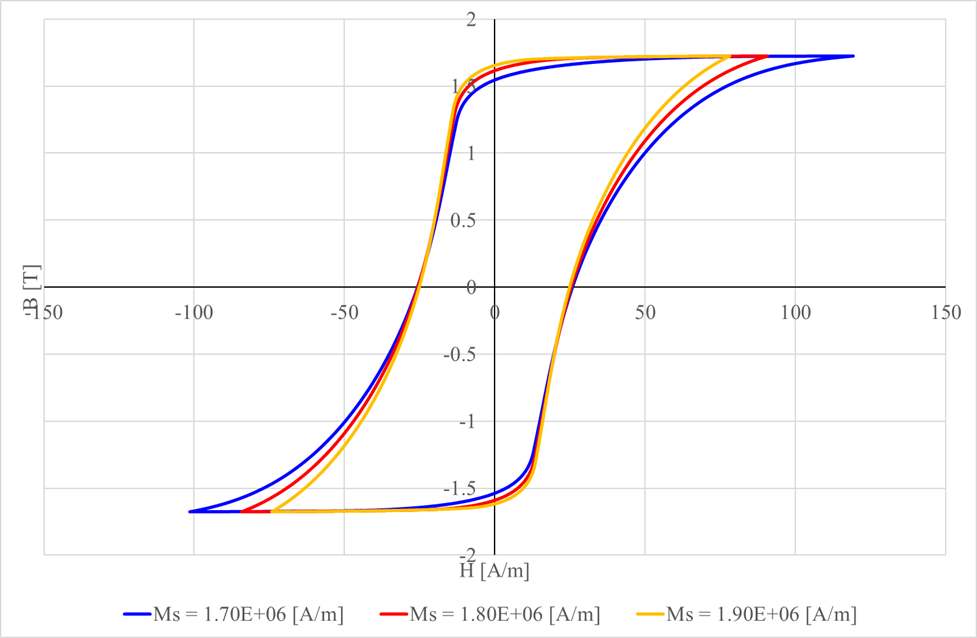
정상상태 1주기 동안 5가지 계수를 가변하면서 히스테리시스 자화를 설명한다. 포화 자화(saturation magetization) Ms를 $1.7\times 10^{6}$, $1.8\times 10^{6}$, $1.9\times 10^{6}$ [A/m]로 가변하면서 히스테리시스 특성을 비교한다. 그림 4는 포화 자화의 변화에 따른 히스테리시스 곡선이다. 재료 자체의 고유한 속성을 나타내는 포화 자화가 감소함에 따라 최대 자화에 영향을 미치는 것을 알 수 있다.

그림 4. 포화 자화에 따른 히스테리시스 곡선

Fig. 4. Hysteresis curve according to saturation magetization

../../Resources/kiee/KIEE.2025.74.8.1332/fig4.png

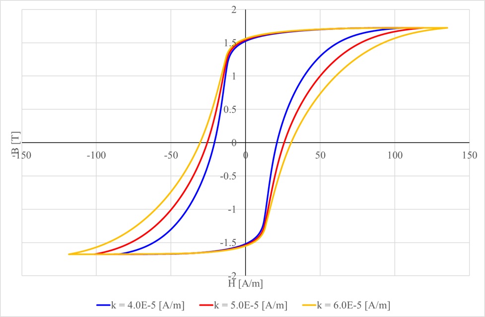
비가역 손실 계수(irreversible loss coefficient) $k$를 4×10-5, 5×10-5, 6×10-5로 가변하면서 히스테리시스 특성을 비교한다. 그림 5는 비가역 손실 계수 변화에 따른 히스테리시스 곡선이다. 코어 손실을 나타내는 루프의 면적에 영향을 미치는 비가역손실 계수가 감소함에 따라 면적이 증가하는 것을 알 수 있다.

그림 5. 비가역 손실 계수에 따른 히스테리시스 곡선

Fig. 5. Hysteresis curve according to irreversible loss coefficient

../../Resources/kiee/KIEE.2025.74.8.1332/fig5.png

가역 자화율(reversible magnetic susceptibility) $c$를 0.1, 0.2, 0.3로 가변하면서 히스테리시스 특성을 비교한다. 그림 6은 가역 자화율 변화에 따른 히스테리시스 곡선이다. 가역 자화율이 감소함에 따라 면적이 증가하는 것을 알 수 있다.

그림 6. 가역 자화율에 따른 히스테리시스 곡선

Fig. 6. Hysteresis curve according to reversible magnetic susceptibility

../../Resources/kiee/KIEE.2025.74.8.1332/fig6.png

평균 자기장 계수(average field parameter) $\alpha$를 1.325×10-5, 1.325×10-6,1.325×10-7 [m/A]로 가변하면서 히스테리시스 특성을 비교한다. 그림 7은 평균 자기장 계수 변화에 따른 히스테리시스 곡선이다. 자기 도메인 간의 결합을 반영하는 가역 자화율이 증가함에 따라 루프의 경사가 증가하는 것을 알 수 있다.

그림 7. 평균 자기장 계수에 따른 히스테리시스 곡선

Fig. 7. Hysteresis curve according to average field parameter

../../Resources/kiee/KIEE.2025.74.8.1332/fig7.png

비히스테리시스 자화 계수 중에서 $a_{2}$를 3209, 3409, 3609로 가변하면서 히스테리시스 특성을 비교한다. 그림 8은 형태 계수$a_{2}$ 변화에 따른 히스테리시스 곡선이다. $a_{2}$ 계수가 증가함에 따라 양극의 포화가 크게 증가하는 것을 알 수 있다.

그림 8. 평균 자기장 계수에 따른 히스테리시스 곡선

Fig. 8. Hysteresis curve according to shape parameter $a_{2}$ of anhysteresis magnetization

../../Resources/kiee/KIEE.2025.74.8.1332/fig8.png

그림 9는 정상상태 초기 과도상태 3주기 동안 히스테리시스 곡선을 나타낸다. 그림 9(a)와 같이, 히스테리시스 곡선은 원점부터 시작하여 초기 대칭 보조 곡선을 거쳐 가변하면서 비대칭적으로 변화한다. 그림 9(b)와 같이, 초기 3주기 동안, 시간 영역에서의 B, H는 크기만 다르고 유사한 위상을 보이며 가변한다. 그림 9(c)와 같이, 초기 과도 상태 3주기로부터 120주기까지, 원점부터 시작하여 대칭 보조 곡선을 거쳐 가변하면서 비대칭적으로 변화하는 히스테리시스 곡선을 보였다.

그림 9. 정상상태 초기 과도시 히스테리시스 곡선

Fig. 9. Hysteresis curve during initial transient of steady state

../../Resources/kiee/KIEE.2025.74.8.1332/fig9-1.png

../../Resources/kiee/KIEE.2025.74.8.1332/fig9-2.png

그림 10은 여자 돌입시 전압위상각 0° 일때, 가압 직후 3주기 동안 히스테리시스 곡선을 나타낸다. 그림 10(a)와 같이, 1사분면의 어깨 영역 루프 끝 부분의 값이 매우 큰 것을 알 수 있다. (-0.011, -0.025) 점에서부터 변동하여 양의 방향의 (395588.480, 2.656) 점까지 변동, 음의 방향의 (-38.897, -0.664) 점까지 변동되어 포화점에 도달하였다. 그림 10(b)와 같이, 확대한 히스테리시스 곡선으로부터 잔류 자속과 궤적을 알 수 있다. 그림 11(c)와 같이, 시간 영역의 B와 H 곡선으로부터 크기는 다르고 유사한 위상을 보이는 것을 알 수 있다.

그림 10. 무부하 여자 돌입시 히스테리시스 곡선

Fig. 10. Hysteresis curve during magnetizing inrush (3 cycles)

../../Resources/kiee/KIEE.2025.74.8.1332/fig10-1.png

../../Resources/kiee/KIEE.2025.74.8.1332/fig10-2.png

표 1은 여자 돌입시 전압위상각을 0°, 45°, 90°, 135°, 180°로 가변하면서 가압 직후 3주기 동안 히스테리시스 곡선 궤적의 포화점을 나타낸다. 전압위상각이 0°, 45°, 90°인 경우에는 1사분면의 어깨 영역 끝 부분인 양의 포화점을, 전압위상각이 135°, 180°인 경우에는 3사분면의 어깨 영역 끝 부분인 음의 포화점을 각각 보였다.

표 1 여자 돌입시 전압위상각에 따른 히스테리시스 곡선의 포화점

Table 1 Saturation point of hysteresis curve according to voltage angle during magnetizing inrush

전압 위상각

양의 포화점

음의 포화점

B [T]

H [A/m]

B [T]

H [A/m]

2.656

395588.480

-0.664

-38.897

45°

2.553

314541.084

-0.792

-42.391

90°

2.084

8622.858

-1.399

-67.714

135°

1.094

52.607

-2.353

-157765.439

180°

0.659

38.756

-2.656

-395588.072

그림 11은 A상 지락 고장시 전압위상각 0° 일때, 고장 직후 3주기 동안 히스테리시스 곡선을 나타낸다. 그림 11(a)와 같이, 1사분면의 어깨 영역 루프 끝 부분의 값이 작아진 것을 알 수 있다. (-0.011, -0.025) 점에서부터 변동하여 양의 방향의 (56.779, 1.244) 점까지 변동, 음의 방향의 (-62.364, -1.369) 점까지 변동되어 포화점에 도달하였다. 그림 11(b)와 같이, 시간 영역의 B와 H 곡선으로부터 크기는 다르고 유사한 위상을 보이는 것을 알 수 있다.

표 2는 A상 지락 고장시 전압위상각 가변에 따른 고장 직후 3주기까지의 히스테리시스 곡선 궤적의 포화점을 나타낸다. 전압위상각이 0°, 45°, 90°인 경우에는 1사분면의 어깨 영역 끝 부분인 양의 포화점을, 전압위상각이 135°, 180°인 경우에는 3사분면의 어깨 영역 끝 부분인 음의 포화점을 각각 보였다.

그림 11. A상 지락 고장시 히스테리시스 곡선

Fig. 11. Hysteresis curve during A phase ground fault (3 cycles)

../../Resources/kiee/KIEE.2025.74.8.1332/fig11.png

표 2 A상 지락 고장시 전압위상각에 따른 히스테리시스 곡선의 포화점

Table 2 Saturation point of hysteresis curves according to voltage angle during A phase ground fault

전압 위상각

양의 포화점

음의 포화점

B [T]

H [A/m]

B [T]

H [A/m]

1.244

56.779

-1.369

-62.364

45°

1.273

58.013

-1.333

-60.615

90°

1.317

59.930

-1.246

-57.052

135°

1.383

63.149

-1.196

-54.937

180°

1.417

65.035

-1.194

-54.877

그림 12는 3상 단락 고장시 전압위상각 0° 일때, 고장 직후 3주기 동안 히스테리시스 곡선을 나타낸다. 그림 12(a)와 같이, 1사분면의 어깨 영역 루프 끝 부분의 값이 작아진 것을 알 수 있다. (-0.011, -0.025) 점에서부터 변동하여 양의 방향의 (40.946, 0.859) 점까지 변동, 음의 방향의 (-49.954, -1.211) 점까지 변동되어 포화점에 도달하였다. 그림 12(b)와 같이, 시간 영역의 B와 H 곡선으로부터 크기는 다르고 유사한 위상을 보이는 것을 알 수 있다.

표 3은 3상 단락 고장시 전압위상각 가변에 따른 고장 직후 3주기 동안 히스테리시스 곡선 궤적의 포화점을 나타낸다. 전압위상각이 0°, 45°, 90°인 경우에는 1사분면의 어깨 영역 끝 부분인 양의 포화점을, 전압위상각이 135°, 180°인 경우에는 3사분면의 어깨 영역 끝 부분인 음의 포화점을 각각 보였다.

표 1, 2, 3으로부터 이벤트와 전압의 위상각에 따라 히스테리시스 곡선이 다르며, 여자 돌입시 B와 H는 양극의 방향으로 증가하여 각각의 포화점을 나타내는 비 대칭성 궤적을 보였다.

그림 12. 3상 단락 고장시 히스테리시스 곡선

Fig. 12. Hysteresis curve during three phase short fault (3 cycles)

../../Resources/kiee/KIEE.2025.74.8.1332/fig12.png

표 3 3상 단락고장시 전압위상각에 따른 히스테리시스 곡선의 포화점

Table 3 Saturation point of hysteresis curve according to voltage angle during three phase short fault

전압 위상각

양의 포화점

음의 포화점

B [T]

H [A/m]

B [T]

H [A/m]

0.859

40.946

-1.211

-49..954

45°

0.904

41.930

-1.162

-48.443

90°

1.037

45.115

-1.017

-44.820

135°

1.186

49.321

-0.878

-42.097

180°

1.260

51.722

-0.811

-40.482

3.5 과도 전류 분석

그림 13은 여자 돌입시 전압위상각 0° 일때, 가압 직후 3주기 동안 전류를 나타낸다. 투입 직후 1차측 전류는 과도 비대칭 형태를 나타내는 것을 알 수 있다.

그림 13. 여자 돌입시 전류

Fig. 13. Current during magnetizing inrush (3 cycles)

../../Resources/kiee/KIEE.2025.74.8.1332/fig13.png

표 4는 여자 돌입시 전압위상각 가변에 따른 가압 직후 3주기 동안 1차 여자 돌입전류 RMS를 나타낸다. A상 전류는, 전압위상각이 0°인 경우 투입후 12.028ms시점에서 1.769kA로 가장 크고, 전압위상각이 증가함에 따라 감소하다가, 전압위상각이 135°인 경우 반전이 되면서 다시 증가하는 경향을 보였다. B상 전류는, 전압위상각이 135°인 경우 투입후 17.174ms시점에서 1.814kA로 가장 작게 흘렀고 C상 전류는, 전압위상각이 90°인 경우 투입후 14.891ms시점에서 1.662kA로 가장 크게 흘렀다.

표 4 여자 돌입시 전압위상각에 따른 전류

Table 4 Current according to voltage angle during magnetizing inrush

전압 위상각

1차측 전류 (RMS)

A상 [kA]

B상 [kA]

C상 [kA]

1.769

(at 12.028ms)

0.965

(at 11.304ms)

0.234

(at 12.391ms)

45°

1.390

(at 11.630ms)

0.170

(at 14.130ms)

1.533

(at 14.565ms)

90°

0.186

(at 16.630ms)

1.115

(at 33.152ms)

1.662

(at 14.891ms)

135°

0.652

(at 19.022ms)

1.814

(at 17.174ms)

0.491

(at 15.978ms)

180°

1.769

(at 20.289ms)

0.965

(at 18.840ms)

0.234

(at 21.739ms)

그림 14는 A상 지락 고장시 전압위상각 0° 일때, 고장 직후 3주기 동안 전류를 나타낸다. 고장 직후 불평형이 되면서 고장이 발생한 A상 전류가 가장 많이 흐르는 것을 알 수 있다.

그림 14. A상 지락 사고시 전류

Fig. 14. Current during A phase ground fault (interest period : 3 cycles)

../../Resources/kiee/KIEE.2025.74.8.1332/fig14.png

표 5는 A상 지락 사고시 전압위상각 가변에 따른 고장 직후 3주기 동안의 1차 전류 RMS를 나타낸다. A상 고장전류는, 전압위상각이 0°인 경우 18.478ms시점에서 12.125kA로 가장 크고, 전압위상각이 증가함에 따라 감소하다가, 전압위상각이 90°인 경우 가장 적고, 다시 증가하다가 전압위상각이 180°인 경우 12.125kA로 가장 크게 흘렀다.

표 5 A상 지락 사고시 전압위상각에 따른 전류

Table 5 Current according to voltage angle during A phase ground fault

전압 위상각

1차측 전류 (RMS)

A상 [kA]

B상 [kA]

C상 [kA]

12.125

(at 18.478ms)

0.691

(at 15.434ms)

0.979

(at 19.782ms)

45°

11.931

(at 18.913ms)

0.677

(at 16.086ms)

0.972

(at 18.478ms)

90°

11.663

(at 26.956ms)

0.628

(at 24.130ms)

0.963

(at 26.521ms)

135°

11.842

(at 27.174ms

0.649

(at 24.782ms)

0.968

(at 26.739ms)

180°

12.125

(at 27.174ms)

0.693

(at 24.347ms)

0.978

(at 27.391ms)

그림 15는 3상 단락 고장시 전압위상각 0° 일때, 고장 직후 3주기 동안 전류를 나타낸다. 고장직후 불평형이 되면서 각상은 전압위상각에 따라 과도상태를 보이다가 모두 평형이 되면서 가장 많이 흐르는 것을 알 수 있다.

그림 15. 3상 단락 사고시 전류

Fig. 15. Current during three phase short fault (3 cycles)

../../Resources/kiee/KIEE.2025.74.8.1332/fig15.png

표 6는 3상 단락 사고시 전압위상각 가변에 따른 고장 직후 3주기 동안 1차 전류 RMS를 나타낸다. A상 고장전류는, 전압위상각이 0°인 경우 19.347ms시점에서 24.735kA로 가장 크고, 전압위상각이 증가함에 따라 감소하다가, 전압위상각이 90°인 경우 가장 적고, 다시 증가하다가 전압위상각이 180°인 경우 24.735kA로 가장 크게 흘렀다. B상 고장전류는 전압위상각이 135°에서 24.920kA, C상 고장전류는 전압위상각이 90°에서, 24.762kA로 크게 흘렀다.

표 6 3상 단락 사고시 전압위상각에 따른 전류

Table 6 Current according to voltage angle during three phase short fault

전압 위상각

1차측 전류 (RMS)

A상 [kA]

B상 [kA]

C상 [kA]

24.735

(at 19.347ms)

23.228

(at 16.956ms)

22.715

(at 22.391ms)

45°

24.196

(at 19.347ms)

22.266

(at 25.434ms)

24.324

(at 22.174ms)

90°

21.902

(at 28.261ms)

23.794

(at 24.782ms)

24.762

(at 22.174ms)

135°

23.237

(at 28.043ms)

24.920

(at 24.782ms)

21.967

(at 22.826ms)

180°

24.735

(at 27.608ms)

23.228

(at 25.434ms)

22.715

(at 30.869ms)

고장 시 과도 전류의 크기와 형태는 CT 자화 특성, 특히 포화 특성과 밀접하게 연관된다. 고장 발생 직후의 대전류 및 불평형 전류는 CT 코어의 포화를 유도할 수 있으며, 이는 히스테리시스 루프의 왜곡 및 2차 전류의 왜곡을 유발하게 된다. 특히 전압 위상각에 따른 과도 전류의 크기 변화는 CT가 어느 시점에서 포화에 도달하는지를 결정짓는 주요 인자로 작용한다. 이에 따라 고장검출을 위한 보호계전기의 응답과 오동작에도 영향을 줄 수 있기에, 본 연구에서 제시한 Jiles-Atherton 기반 CT 모델을 통한 사전 평가가 중요하다.

4. 결 론

본 논문은 비선형 CT 기반 3권선 변압기 계통의 모델링과 과도 분석을 수행하였다. 먼저, 비선형 CT 자성체를 위한 Jiles-Atherton 모델 방정식을 기술하였다. 성능을 검증하기 위하여, 수집된 계통 정수를 기반으로 실제 3권선 변압기 계통을 EMT 도구인 PSCAD를 이용하여 모델링하였다. 정상상태 전압은 0.11%, 전류는 0.93%의 최대 오차로 설계 모델과 시뮬레이션의 유효성을 검증한 후, 공심 리액턴스의 가변에 따른 제시한 J-A 모델 CT의 자화 전류 특성 분석과 포화 자화, 비가역 손실 계수, 가역 자화율, 평균 자기장 등을 가변하면서 히스테리시스 특성을 분석하였다. 끝으로 전압위상각을 변화하면서 여자 돌입전류, A상 지락 고장 및 3상 단락 고장의 과도 전류를 분석하고 평가하였다.

본 연구를 통해 구현한 Jiles-Atherton 모델 기반 CT 포화 해석은, 실제 전력 계통 보호장치의 설계 및 운영 시 CT 포화로 인한 계전기 오동작을 예방하는 데 활용될 수 있으며, 향후 CT 기반 보호, 보상 대책 알고리즘 개발 및 왜곡 계전신호 시뮬레이션의 정밀도 향상에 기여할 수 있다.

References

1 
IEEE SA, “IEEE Guide for the Application of Current Transformers Used for Protective Relaying Purposes,” pp. 1-89, 2023.URL
2 
ABB, “Generator protection REG670 2.0 IEC Technical manual,” pp. 1-1298, 2016.URL
3 
GE Power Management, “DGP Digital Generator Protection Relay™ Instruction Manual,” GE, pp. 1-278, 2000.URL
4 
S. I. Kim, “Power System Protection Theory and Applications,” ESP, pp. 1-840, December 2020.URL
5 
Manitoba, “Power Systems Computer Aided Design USER'S GUIDE”, pp. 1-529, 2018.URL
6 
H. C. Seo, S. M. Yeo, C. H. Kim, Y. S. Yoo, B. S. Jo, “Modeling of Transformer Inrush Current using EMTP-RV,” KIEE Summer Conference, pp. 610-611, July 2007.URL
7 
Y. C. Kang, Y. H. Kim, T. Zjeng, S. I. Jang, Y. G. Kim, “Compensation of the Secondary Voltage of a Three Winding Couping Capacitor Voltage Transformer,” KIEE vol. 57, no. 5, pp. 938-943, July 2008.URL
8 
Y. C. Kang, T. Zheng, S. I. Jang, Y. G. Kim, “Compensating algorithm for the secondary current of a measurement type CT considering the secondary voltage-core loss current curve and the flux linkage-magnetizing current curve,” KIEE Summer Conference, pp. 65-66, July 2008.URL
9 
Y. K. Kim, “Development and Verification of RTDS Current Transformer Model with Nonlinear Saturation Characteristics,” Master theses at Myongji Univ., pp. 1-54, 2021.URL
10 
Y. C. Kang, T. Zheng, S. I. Jang, Y. G. Kim, “A Study on Current Transformer Modeling Methods Considering Core Magnetic Saturation Characteristics,” KIEE Summer Conference, pp. 759-760, July 2024.URL
11 
K. M. Lee, C. W. Park, “EMT-Based RDR and DWT Protection Techniques Simulation of Three-Winding Power Transformer,” KIEE, vol. 74, no. 2, pp. 258-265 February 2025.URL
12 
J. Rohan Lucas, “Representation of Magnetisation Curves Over a Wide Region Using a Non-Integer Power Series,” International Journal of Electrical Engineering Education, pp. 1-5, October 1988.URL
13 
Ralph Folkers, “Determine Current Transformer Suitability Using EMTP Models,” 26th Annual Western Protective Relay Conference, pp. 1-47, October 1999.URL
14 
Nicola Chiesa, “Power Transformer Modeling for Inrush Current Calculation,” Doctoral theses at NTNU, pp. 1-226, 2010.URL
15 
Aurélio Coelho, Carlos A. V. Guerrero, Paulo Roberto Mattos da Silveira, Benedito Donizeti Bonatto, “Comparative Study of Protection CT Modeling Under Transient Conditions,” ReserchGate, June 2014.URL
16 
H. Abdull Halim, Thinh Dao, B.T. Phung1 and J.E. Fletcher, “Transformer Inrush Transients Using Jiles-Atherton Model in PSCAD/EMTDC,” ICSGTEIS pp. 38-42, October 2016.DOI
17 
W. Kanokbannakorn, T. Penthong, “Improvement of a Current Transformer Model based on the Jiles-Atherton Theory,” 2019 IEEE PES GTD Asia, 2019.DOI
18 
Gustavo G. Leal H., Matias Meira, Guillermo R. Bossio, Cristian R. Ruschetti and Carlos J. Verucchi, “Inter-Turn Short-Circuit Detection Through Differential Admittance Monitoring in Transformers,” IEEE Transactions on Instrumentation and Measurement, vol. 73, 3519508, 2024.DOI
19 
Nilesh Chothani, Swapnil Kumar, “Enhanced Adaptive Differential Protection using DWT for Transformer Considering CT Saturation,” International Conference for Advancement in Technology (ICONAT), pp. 1-6, September 2024.DOI
20 
Duy C. Huynh and Loc D. Ho, “Comprehensive Fault Location on Transmission Lines Considering Variation in Line Parameters and Saturation in Current Transformers,” IEEE Access. vol. 13, pp. 735-769, January 2025.DOI
21 
Krishna Kanakgiri, Dhruv Ishan Bhardwaj, Boggavarapu Sai Ram and Shrikrishna V. Kulkarni, “A Circuit-Based Formulation for Soft Magnetic Materials Using the Jiles–Atherton Model,” IEEE Transactions on Magnetics, vol. 60, no. 10, 7301107 October 2024.DOI

저자소개

이경민(Kyung-Min Lee)
../../Resources/kiee/KIEE.2025.74.8.1332/au1.png

He was born in Korea in 1990. He received his B.S., M.S. and Ph.D. degrees in Electrical Engineering from Gangneung-Wonju National University, Wonju, Korea, in 2014, 2017, and 2023, respectively. He was a post-doctor at Gangneung-Wonju National University, since 2023. He was a lecturer at Myongji College, since 2024. He is an assistant professor at Dongshin University, since 2025. His research interests include Smartgrid, LVDC, Microgrid, RES, PMU, AI application of power system, power system modeling & control, and power system protection. He is a member of the KIEE, KIIEE, and IEEE. Dr. Lee was awarded the Paper Prize of KIIEE in 2020, the Best Paper of the APAP in 2021, and the Best Paper of KOWEPO in 2021, 2022, and the Best Paper of KHNP in 2023, and Namchon Kim Jae-Chul Academic Award of KIIEE in 2024, and the Best Paper of KERI in 2024.

Tel : 061-330-3207, Fax : 061-330-3208

E-mail : kmlee@dsu.ac.kr

박철원(Chul-Won Park)
../../Resources/kiee/KIEE.2025.74.8.1332/au2.png

He was born in Korea. He received his B.S., M.S. and Ph.D. degrees in Electrical Engineering from Sungkyunkwan University, Seoul, Korea, in 1988, 1990, and 1996, respectively. From 1989 to 1993 he was an associate researcher at Lucky GoldStar Industrial Systems. From 1993 to 1996, he was a senior researcher at PROCOM system and lecturer at S.K.K. University. At present, he is a professor in the Department of Electrical Engineering at Gangneung-Wonju National University, since 1997. His research interests include power IT, IED, LVDC, MVDC, Microgrid, Hybrid, RES, ESS, Fuel Cell, Electrolyzer, System Measures, VPP, PMU, Big Data, AI application to power grid, power system modeling & control, and computer application in power system. He is a member of the KIEE, KIIEE, and IEEE. Dr. Park was awarded the Paper Prize of KIEE in 2010, 2020, the Paper Prize of the KOFST in 2017, the Best Paper of the APAP in 2021, the Best Paper of KOWEPO in 2021, 2022, and the Best Paper of KHNP in 2023, and the Best Paper of KERI in 2024.

Tel : 033-760-8786, Fax : 033-760-8781

E-mail : cwpark1@gwnu.ac.kr