정재환
(Jaehwan Jung)
1iD
김형우
(Hyung-Woo Kim)
1iD
황영호
(Young-Ho Hwang)
1iD
남택효
(Taek-Hyo Nam)
1iD
정상용
(Sang-Yong Jung)
†iD
-
(Dept. of Electrical and Computer Engineering, Sungkyunkwan University, Republic of
Korea.)
Copyright © The Korea Institute for Structural Maintenance and Inspection
Key words
Axial-flux motor, Finite element analysis, Halbach magnet array, Skew structure, Yokeless and segmented armature
1. 서 론
인 휠 모터(In-wheel motor), UAV(Unmanned Aerial Vehicle) 등 현재 산업 트랜드는 제한된 설계 공간 내에서 높은
토크 밀도의 구동기를 요구한다. 직경의 세제곱에 비례하는 토크 특성을 가지는 축 방향 자속 모터(Axial Flux Motor, AFM)는 산업에서
널리 사용되는 방사 방향 자속 모터(Radial Flux Motor, RFM)의 대안으로써 주목받고 있다[1].
AFM의 고토크 밀도 특성을 극대화하기 위해 관련 선행 연구에서는 자기 차폐 효과를 지닌 Halbach 자석 배열을 회전자에 적용하여 토크 밀도를
향상시켰다[2]. 그러나 Halbach 자석 배열은 축 방향 자화 자석으로만 구성된 일반적인 자석 배열과 달리 공극 자속 밀도의 비정현적 특성으로 인해 코깅 토크(cogging
torque)와 역기전력의 전 고조파 왜율(Total Harmonic Distortion, THD)이 증가하는 단점이 보고되었다[3]. 한편, 공극 자속 밀도와 슬롯 간 상호작용으로 인한 공간 고조파 성분인 코깅 토크는 스큐 구조(skew structure)의 자석을 적용함으로써
효과적으로 저감할 수 있는 것으로 알려져 있다[4-5]. 다만 스큐 각도가 과도하게 커지면, 코깅 토크가 증가하거나 평균 토크가 저하될 수 있기 때문에 신중한 선정이 필요하다. RFM은 스큐 각도 조정을
통해 코깅 토크를 이론적으로 크게 저감할 수 있는 최적 스큐 각도가 슬롯 피치와 극-슬롯 조합에 대한 비교적 명확한 수식으로 정립되어 있다[6]. 하지만, AFM은 내경 방향과 외경 방향으로의 누설 자속 차이와 토크에 기여하는 모멘트 암 길이 차이로 인해 정확한 수학적 표현이 난해하다[4].
본 연구에서는 3차원 유한요소해석을 통해 Halbach 자석 배열과 세 가지 스큐 구조가 적용된 YASA(Yokeless and Segmented
Armature)-type AFM에 대해 무부하 조건의 전자기 특성을 분석한다. Halbach 자석 배열의 평균 토크와 코깅 토크 간의 상충 관계를
완화하기 위한 대안으로 자석 스큐 구조를 적용한다. 스큐 구조는 Halbach 자석 배열과 마찬가지로 두 성능 간 상충 관계를 가진다. 본 연구에서
분석한 AFM은 성능에 유사한 영향을 미치는 Halbach 자석 배열과 스큐 구조를 병용하기 때문에, 주요매개변수를 복합적으로 분석하고 평가한다.
2. 설계제원 및 해석 조건
YASA-type AFM은 요크가 없는 고정자 구조를 가지며 고정자 양옆에 두 개의 회전자로 이루어진다. 본 논문에서 검토한 YASA-type AFM의
고정자 구조와 설계제원을 그림 1과 표 1에 각각 나타내었다. 그림 1은 주기경계조건과 대칭경계조건을 고려한 형상이며, 표 1에 작성된 설계 변수는 고정값이다.
그림 1. YASA-type AFM의 고정자 구성
Fig. 1. Configuration of YASA-type AFM stator
표 1 YASA-type AFM의 설계제원
Table 1 Specifications of YASA-type AFM
|
Symbol
|
Quantity
|
Value
|
|
P
|
극 수
|
12
|
|
Ns
|
슬롯 수
|
18
|
|
-
|
영구자석 소재
|
NdFeB45
|
|
-
|
코어, 요크 소재
|
35PN440
|
|
-
|
회전 속도
|
1000 RPM
|
|
Do
|
활성 부품의 외경
|
400 mm
|
|
λ (Di /Do)
|
내경 대 외경 비
|
0.563
|
|
Hs
|
슬롯의 축 방향 길이
|
120 mm
|
|
Hso
|
고정자 슈의 축 방향 길이
|
8 mm
|
|
Wc
|
코일 두께
|
9.6 mm
|
|
Air-gap
|
공극
|
2 mm
|
|
αs
|
슬롯 대 슬롯 피치 각도 비
|
0.46
|
|
αso
|
고정자 슈 대 피치 각도 비
|
0.82
|
2.1 Halbach 자석 배열과 자석 스큐 구조
그림 2는 Halbach 자석 배열과 세 종류의 자석 스큐 구조를 적용한 AFM의 회전자 구조를 나타낸다. 본 연구에서 비교하는 세 가지 스큐 구조는 성능
비교를 위해 동일한 스큐 각도 $\theta_{skew}$를 기준으로 설계되었다. 기본 스큐는 자석의 내경과 외경을 잇는 선이 내경과의 접점을 기준으로
스큐 각도만큼 기울어진 단순 선형 구조이다. 이중 스큐는 자석의 반경 방향 중심선을 기준으로 대칭적인 V자 형태를 가지며, 삼각 스큐는 외경과 내경
기준 중심선과 외경과 내경을 가로지르는 선 간 접점을 회전 중심으로 두어 스큐 각도를 적용하였다. 회전자 구조는 원주 방향으로 빈 공간 없이 $z$축
자화 자석과 $\theta$축 자화 자석으로 구성되어 있으며, 두 자석의 각도는 아래 식 (1)을 만족한다.
그림 2. Halbach 자석 배열과 세 종류의 스큐 구조를 가지는 AFM의 회전자 구성
Fig. 2. Rotor configurations of AFM rotor with Halbach magnet array and three type
skew structures
위 식에서 $\theta_{pz}$와 $\theta_{pt}$는 각각 $z$축, $\theta$축 자화 자석의 각도이며, $\tau_{p}$는 한
주기의 전기각에 해당하는 기계각이다. 스큐 구조 간 전자기 특성 비교를 위해, 스큐 각도 $\theta_{skew}$는 모든 스큐 구조에 대해 아래
식 (2)와 같이 나타낸다.
여기서,
그림 3. 3D 유한요소모델과 경계 조건
Fig. 3. 3D finite element model and boundary conditions
표 2 기본 스큐와 이중 스큐 구조의 분석 인자 범위
Table 2 Parameter ranges for basic skew and dual skew
|
Symbol
|
Minimum value
|
Maximum value
|
Interval
|
|
$\alpha_{skew}$
|
0
|
1.5
|
0.1
|
|
$\alpha_{pz}$
|
0.4
|
0.9
|
0.05
|
위 식에서 $\alpha_{skew}$는 기본 스큐 구조를 기준으로 $\theta_{skew}$가 내경과 외경 사이에서 한 슬롯 피치 $\tau_{s}=2\pi
/N_{s}$ 만큼 가로지를 때의 기준 각도로 정의하며, 이를 1로 정규화한 계수이다. 이는 $\theta_{skew}$의 상대적 크기를 표준화하여
스큐 구조 간 용이한 비교를 위해 도입되었다.
$i$번째 $z$축 방향 자화 자석의 자화 벡터는 $\theta_{skew}$에 관계없이 동일한 반면, $i$번째 $\theta$축 방향 자화 자석은
$\theta_{skew}$에 따라 자화 벡터의 방향을 보정할 필요가 있다. $i$($i=1,\: 2,\: ...,\: P$)번째 $\theta$축
방향 자화 자석의 자화 벡터 $\vec{M}_{t,\: i}$는 아래 식 (5)와 같다.
여기서,
위 식에서 $\left | M_{PM}\right |$은 영구자석 자화 벡터의 크기이며, $\hat{x}$와 $\hat{y}$는 각각 $x$축과 $y$축으로의
단위 벡터이다. 자화 벡터의 방향은 $i$번째 $\theta$축 방향 자화 자석의 어느 위치에 상관없이 동일하다. 스큐 구조의 종류별로 할당되는 자화
벡터의 방향이 다르며, 이는 $k_{skew}$의 값에 따라 분류된다. 기본 스큐는 $k_{skew}=1$, 이중 스큐는 $k_{skew}=0.5$,
그리고 삼각 스큐는 $k_{skew}=0$에 해당한다.
한편, Halbach 배열 회전자 구조는 인접한 자석 간의 강한 자기력으로 인해 실제 제작 시 회전자의 구조적 안정성 확보가 중요하다. 실제 Halbach
배열 AFM 제작 사례에서는 회전자 요크에 자석을 고정한 후 에폭시(epoxy) 등으로 포팅(potting)하는 방식을 사용한다[7]. 또한, 고속 운전용 AFM에서는 탄소 섬유 슬리브(carbon fiber sleeve)를 로터 외경에 적용해 응력을 분산시킴으로써 원심력에 의한
자석 이탈을 방지하였다[8]. 본 연구의 전자기적 성능 분석은 이와 같은 구조적 보강 방안이 적용됨을 전제로 한다.
2.2 3D 유한요소모델 및 해석 조건
본 연구에서는 3D 유한요소해석을 통해 Halbach 자석 배열이 적용된 세 종류의 스큐 구조에 대해 무부하 전자기 해석을 진행한다. 그림 3은 YASA-type AFM의 3D 유한요소모델을 나타낸다. 해석에 사용할 YASA-type AFM은 SSDR (Single-Stator and Double-Rotor)로
구성된다. 이에 따라 고정자 코어의 $z$축 방향 중심면을 기준으로 제차 노이만 경계 조건(Homogenous Neumann boundary condition)을
적용했으며, 극과 슬롯 간 전기적 주기성을 고려하여 주기 경계 조건(Periodic boundary condition)을 적용했다. 위 장에서 정의한
$\alpha_{skew}$와 $z$축 방향 자화 자석의 극호비 $\alpha_{pz}$($\alpha_{pz}=2\pi\theta_{pz}/P$)를
주요 변수 인자로 사용한다. 두 변수에 따른 코깅 토크의 최대-최솟값 차이, 역기전력의 THD, 그리고 모터의 토크에 비례하는 성분인 쇄교 자속의
기본파 성분을 분석한다.
한편 기본 스큐 구조와 이중 스큐 구조는 $\alpha_{skew}$와 $\alpha_{pz}$의 변화에 따라 공간적 제약이 없지만, 삼각 스큐의
경우 인접한 동일 자화 방향 자석끼리 겹쳐지게 되는 영역이 존재한다. 이에 따라 기본 스큐와 이중 스큐 구조일 때 분석 인자의 범위를 표 2와 같이 선정했으며, 삼각 스큐 구조일 때는 이와 별개로 제약이 발생하지 않는 범위 내에서 분석 인자를 선정하여 해석을 진행했다. 최종적으로 기본
스큐와 이중 스큐 구조일 때 해석 cases는 각각 176 cases이며, 삼각 스큐 구조일 때는 두 분석 인자의 간격을 표 2와 동일하게 선정하여 총 71 cases에 대한 해석을 진행한다.
그림 4. 스큐 구조별 코깅 토크 최대-최솟값, 역기전력의 THD, 그리고 쇄교자속 Ψ의 가본파 성분
Fig. 4. peak to peak value of cogging torque, THD of Back-EFM, and fundamental component
of flux linkage Ψ
3. 해석 결과 및 무부하 전자기 특성 분석
해당 장에서는 분석 인자인 $\alpha_{skew}$와 $\alpha_{pz}$의 선정 범위 내에서 무부하 조건의 주요 전자기적 성능인 코깅 토크,
역기전력의 THD, 그리고 쇄교 자속의 기본파 성분을 분석하고 비교한다. 아울러, 특정 선정조건에서 각 스큐 구조마다 대표 모델을 선정하여 대표 모델의
전기각에 따른 성능별 파형과 경향성을 확인한다.
3.1 해석 결과
세 가지 스큐 구조 각각 적용했을 때 $\alpha_{skew}$와 $\alpha_{pz}$에 따른 코깅 토크, 역기전력의 THD, 그리고 쇄교 자속
Ψ의 기본파 성분을 그림 4에 도식하였다. 각 성능을 등고선도로 표현했으며, 경향성 확인을 위해 코깅 토크와 역기전력의 THD에 대한 값을 로그 스케일(log scale)로
변환하였다.
먼저, 그림 4(a)는 기본 스큐 구조에 대한 무부하 조건 전자기 성능을 나타낸다. 코깅 토크의 최솟값은 모든 $\alpha_{skew}$ 구간 내에 가 0.6에서 0.65
사이일 때 존재한다. 아울러 $\alpha_{skew}$가 점점 낮아짐에 따라 $\alpha_{pz}$에 대한 민감도가 감소한다. 한편, 역기전력의
THD는 낮은 $\alpha_{skew}$ 구간에서 $\alpha_{pz}$가 0.6인 지점 부근에 국부적으로 낮은 구간이 나타나며, $\alpha_{skew}$가
1 이상일 때 전 구간의 $\alpha_{pz}$에서 6% 이하인 영역이 넓게 분포해 있다. 쇄교 자속의 기본파 성분의 경우, $\alpha_{skew}$가
0에 가깝고 $\alpha_{skew}$가 커질수록 최댓값과 가까워진다.
다음으로, 이중 스큐 구조에 대한 무부하 조건 전자기 성능은 그림 4(b)에 해당한다. 코깅 토크가 낮은 영역은 $\alpha_{pz}$가 0.65 이상이고 $\alpha_{skew}$가 0.8 이상인 영역에 넓게 분포해
있다.
표 3 스큐 구조 및 Baseline 모델의 전자기 성능과 주요매개변수
Table 3 Electromagnetic performances and key parameters for skew structures and Baseline
model
|
Skew type
|
|
Performances and parameters
|
Baseline
|
기본 스큐
|
이중 스큐
|
삼각 스큐
|
|
코깅 토크의 최대-최솟값 [Nm]
|
16.8
|
2.75
|
4.69
|
12.4
|
|
역기전력 THD [%]
|
3.10
|
4.75
|
4.23
|
2.85
|
|
쇄교 자속의 기본파 성분
[Wb]
|
0.01141
|
0.01037
|
0.01108
|
0.01130
|
|
$\alpha_{skew}$
|
-
|
1.1
|
1.4
|
0.3
|
|
$\alpha_{pz}$
|
0.68
|
0.65
|
0.85
|
0.55
|
그림 5. 스큐 구조별 무부하 조건에서의 성능 파형
Fig. 5. Performance profiles for each skew structure on no-load condition
이는 해당 영역 내에서 두 주요 분석 인자에 대해 민감도가 낮은 것을 의미한다. 동일한 영역에서 역기전력의 THD는 $\alpha_{skew}$가
높아질수록 점차 낮아진다. 쇄교 자속의 기본파 성분의 경우, 기본 스큐 구조와 경향성이 유사하다.
마지막으로, 그림 4(c)는 인접한 동일 방향 자화 자석 간 공간적 제약이 발생하지 않는 분석 인자 영역에서의 전자기 성능을 나타낸다. 대체적으로 앞서 언급한 두 스큐 구조
대비 전 영역에서 코깅 토크가 낮은 지점이 국한되어있다. 역기전력의 THD의 경우, 값이 낮은 구간에서 $\alpha_{pz}$가 $\alpha_{skew}$
보다 지배적인 인자로 작용한다. 아울러 쇄교 자속의 기본파 성분 또한 $\alpha_{pz}$에 민감한 경향성을 보인다.
그림 4에서 나타나는 스큐 구조별 성능 특성의 차이는 각 구조의 기하학적 형태가 공극 기자력의 공간 고조파를 상쇄하는 방식이 다르기 때문으로 분석할 수 있다.
기본 스큐는 선형적인 위상 변화를 통해 특정 고조파를 저감하지만, 내경과 외경의 다른 모멘트 암 길이로 인해 완전히 상쇄가 어렵고 비대칭적인 토크
파형을 유발할 수 있다. 반면, 이중 스큐는 자석의 반경 방향 중심에 대해 V자 형태를 가지므로, 특정 대칭성을 갖는 고조파 성분에 대해 더 효과적인
상쇄 작용을 유발하여 코깅 토크 민감도가 낮은 넓은 영역을 형성하는 것으로 판단된다. 마지막으로, 삼각 스큐는 복잡한 위상 변화를 유발하여 기본파
성분에는 유리할 수 있으나 기하학적인 스큐 각도 제한 때문에 주요 저차 고조파 상쇄에는 비효율적이다.
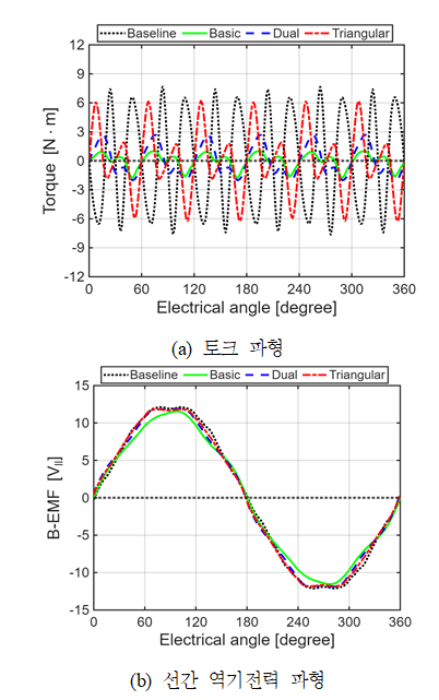
그림 6. 대표 모델별 무부하 조건에서의 성능 파형
Fig. 6. Performance profiles for each model on no-load condition
3.2 대표 모델별 성능 파형
앞서 서술한 전자기 특성을 분석한 내용을 바탕으로, 각 스큐 구조의 실용적인 설계안을 비교하기 위해 식 (9)의 선정 기준을 적용하여 대표 모델을 선정했다. 이전 분석에서 계산된 스큐별 176 cases의 해석 결과로부터 주어진 성능 기준을 만족하는 모델을
일차적으로 선별하고, 그중에서 쇄교자속 기본파 성분이 가장 높은 모델을 최종 대표 모델로 채택했다.
위 식에서 $T_{cog,\: pk-pk}$는 코깅 토크의 최대-최솟값 간 차이, $V_{THD}$는 역기전력의 THD를 나타낸다.
반면, 삼각 스큐 구조의 경우 분석 인자의 영역 내에서 식 (9)를 만족하는 영역이 존재하지 않아 코깅 토크가 가장 낮은 지점을 기준으로 대표모델을 선정했다. 선정한 대표모델의 전자기 성능과 주요 매개변수는 표 3에 나타냈으며, 이에 해당하는 지점을 그림 4에 별 모양으로 표시했다.
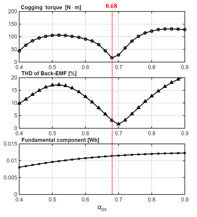
아울러, Halbach 배열과 스큐 구조 적용의 효과를 비교하기 위해 두 구조를 모두 적용하지 않은 Baseline 모델에 대한 분석을 수행하였다.
그림 5는 Baseline 모델의 $\alpha_{pz}$에 따른 주요 전자기적 성능을 나타낸다. 스큐별 대표 모델과의 비교를 위해, 그림 5의 결과 중 코깅 토크가 가장 낮은 0.68 지점을 Baseline 모델의 대표 설계점으로 선정하였다.
그림 6은 각 대표 모델의 무부하 토크와 선간 역기전력 파형을 나타낸다. 그림 6(a)를 보면, 모든 토크 파형 모두 평균은 0이며 전기적 한주기 대비 6차의 주기성을 가진다. 표 3을 보면, Baseline 모델은 다른 모델들에 비해 쇄교 자속의 주고조파 성분이 높은 반면, 코깅 토크의 진폭이 가장 크게 나타난다. 역기전력의
THD는 모든 모델에서 유사한 수준을 보였다. 이는 Halbach 배열과 스큐 구조의 복합 적용이 쇄교 자속(즉, 평균 토크)에서는 소폭의 손실이
발생하지만, 코깅 토크를 저감하여 전체적인 토크 리플을 개선하는 데에 효과적인 상충 관계를 가짐을 보여준다.
한편 삼각 스큐 구조는 최댓값과 최솟값의 크기가 유사한 반면, 기본 스큐 구조와 이중 스큐 구조는 최댓값과 최솟값의 크기가 다르다. 이는 RFM과
대조적으로 AFM에 기본 스큐 혹은 이중 스큐와 같은 단방향으로 편향된 스큐 적용 시 내경과 외경 부근에서 토크에 미치는 영향이 다르기 때문으로 판단된다.
4. 결 론
세 가지 종류의 스큐 구조가 적용된 Halbach 자석 배열 YASA-type AFM에 대해 주요 매개변수인 자석 극호비와 스큐 각도에 따른 무부하
조건의 전자기 성능을 분석하였다. 분석 결과, 세 스큐 구조 모두 토크 리플과 연관된 전자기 특성과 쇄교 자속의 주 고조파 성분 간 상충 관계가 있으며,
코깅 토크 혹은 역기진력의 THD의 최솟값 부근에서 두 분석 인자에 대한 민감도가 서로 상이한 것을 확인했다. 특히, Halbach 배열 및 스큐
구조를 적용하지 않은 Baseline 모델과의 비교를 통해, 두 구조를 모두 적용한 방식이 쇄교 자속의 소폭 감소를 대가로 코깅 토크를 개선하는 상충
관계임을 입증하였다.
본 연구는 고토크 밀도가 요구하는 응용 분야에서 Halbach 자석 배열 YASA-type AFM을 설계할 때, 자석 극호비 혹은 스큐 구조 선정에
실질적인 가이드라인을 제공하는 것을 목표로 하였다. 추후 연구에서는 식 (2)의 자석 간 간격 제한을 해제하고 자석 사용량 그리고 내경 대 외경 비 λ를 추가 매개변수를 도입하여 전자기 성능을 재분석하며, 이를 기반으로 프로토타입을
제작하여 시험 검증을 통해 결과의 신뢰성을 확보할 계획이다.
감사의 글
This work was supported by the Ministry of Trade, Industry and Energy (MOTIE) and
the Korea Institute of Energy Technology Evaluation and Planning (KETEP).
(RS-2025-02314044)
References
F. N. U. Nishanth, J. Van Verdeghem and E. L. Severson, “Recent advances in analysis
and design of axial flux permanent magnet electric machines,” IEEE Energy Conversion
Congress and Exposition, ECCE, pp. 3745-3752, 2021. DOI:10.1109/ECCE47101.2021.9595085

Z. Zhang, C. Wang and W. Geng, “Design and optimization of Halbach-array PM rotor
for high-speed axial-flux permanent magnet machine with ironless stator,” IEEE Transactions
on Industrial Electronics, vol. 67, no. 9, pp. 7269-7279, 2019. DOI:10.1109/TIE.2019.2944033

Y. Lu, Y. Kai, S. Songjun, Y. Lixiao, X. Fei and L. Cheng, “Study on the influence
of a combined-Halbach array for the axial flux permanent magnet electrical machine
with yokeless and segmented armature,” IEEE Transactions on Magnetics, vol. 60, no.
3, pp. 1-5, 2023. DOI:10.1109/TMAG.2023.3287708

M. Aydin and M. Gulec, “Reduction of cogging torque in double-rotor axial-flux permanent-magnet
disk motors: A review of cost-effective magnet-skewing techniques with experimental
verification,” IEEE Transactions on Industrial Electronics, vol. 61, no. 9, pp. 5025-5034,
2013. DOI:10.1109/TIE.2013.2276777

A. B. Letelier, D. A. Gonzalez, J. A. Tapia, R. Wallace and M. A. Valenzuela, “Cogging
torque reduction in an axial flux PM machine via stator slot displacement and skewing,”
IEEE Transactions on Industry Applications, vol. 43, no. 3, pp. 685-693, 2007. DOI:10.1109/TIA.2007.895738

C. K. Kim, S. G. Lee and S. Y. Jung, “Design of cogging torque and torque ripples
reduction for high precision controlled SPMSM,” The Transactions of the Korean Institute
of Electrical Engineers, vol. 58, no. 10, pp. 1923-1929, 2010.

W. Geng and Z. Zhang, “Analysis and implementation of new ironless stator axial-flux
permanent magnet machine with concentrated nonoverlapping windings,” IEEE Transactions
on Energy Conversion, vol. 33, no. 3, pp. 1274-284, 2018. DOI:10.1109/TEC.2018.2799172

Z. Zhang, C. Wang and W. Geng, “Design and Optimization of Halbach-Array PM Rotor
for High-Speed Axial-Flux Permanent Magnet Machine With Ironless Stator,” IEEE Transactions
on Industrial Electronics, vol. 67, no. 9, pp. 7269-7279, 2019. DOI:10.1109/TIE.2019.2944033

저자소개
He received B.S. and M.S. degree in Mechanical Engineering from Ajou University, Suwon,
Korea, in 2021 and 2023. He was a Researcher at Production engineering Research Institute
(PRI), LG Electronics, Korea, from 2023 to 2025. He is currently pursuing the Ph.D.
degree in Electrical and Computer Engineering from Sungkyunkwan University, Suwon,
Korea.
Tel : 031-299-4918
E-mail : jgah1198@g.skku.edu
He received B.S. degree in Electrical Engineering from Myongji University, Yongin,
Korea, in 2020. He is currently pursuing the integrated M.S./Ph.D. degree in Electrical
and Computer Engineering, Suwon, Korea.
Tel : 031-299-4918
E-mail : kmhngw95@g.skku.edu
He received B.S. degree in Electrical Engineering from Pusan National University,
Busan, Korea, in 2021. He is currently pursuing the integrated M.S./Ph.D. degree in
Electrical and Computer Engineering, Suwon, Korea.
Tel : 031-299-4918
E-mail : kmhngw95@g.skku.edu
He received B.S. degree in Electrical and Electronic Engineering from Sungkyunkwan
University, Suwon, Korea, in 2024. He is currently pursuing the integrated M.S./Ph.D.
degree in Electrical and Computer Engineering, Suwon, Korea.
Tel : 031-299-4918
E-mail : kmhngw95@g.skku.edu
He received the B.S., M.S., and Ph.D. degrees in electrical engineering from Seoul
National University, Seoul, Korea, in 1997, 1999, and 2003, respectively. From 2003
to 2006, he was a Senior Research Engineer with the Research and Development Division,
Hyundai Motor Company, Seoul, and the Research and Development Division, Kia Motor,
Seoul. He is currently a Professor with the School of Electronic and Electrical Engineering,
Sungkyunkwan University, Suwon, Korea.
Tel : 031-299-4952
E-mail : syjung@skku.edu