이동우
                     (Dong-Woo Lee)
                     †iD
            
            Copyright © The Korea Institute for Structural Maintenance and Inspection
            
            
            
            
            
               
                  
Key words
               
                Interior permanent magnet synchronous motor,  Sensorless control,  Extended EMF estimator,  PLL-type estimator
             
            
          
         
            
                  1. 서 론       	
                영구자석 동기전동기(Permanent Magnet Synchronous Motor)는 높은 토크 밀도와 우수한 효율을 바탕으로 배터리 전기차(Battery
                  Electric Vehicle), 하이브리드 전기차(Hybrid Electric Vehicle), 플러그인 하이브리드 전기차(Plug-in Hybrid
                  Electric Vehicle) 등 다양한 산업 분야에 널리 적용되고 있다. 최근에는 간단한 구조와 넓은 고속 운전 범위를 이유로 자동차 파워트레인
                  시스템에서의 활용이 주목받고 있다. 또한, 위치 및 속도 센서를 사용하지 않는 센서리스 구동 방식이 소형화, 비용 절감, 신뢰성 향상의 이점으로 인해
                  활발히 연구되고 있다[1].
               
               전동기 회전자 위치 추정은 PMSM의 센서리스 제어를 적용하기 위해 필수적이다. 일반적으로 추정 방식은 두 가지로 분류된다. 첫 번째 방식은 역기전력(back-EMF)을
                  활용하여 중·고속 영역에서 회전자 위치와 속도를 추정하는 것으로, 역기전력의 크기가 회전자 속도에 비례한다는 점을 이용한다[2]. 두 번째는 정지 및 저속 영역에서 고주파 전압 신호를 주입하여 위치를 추정하는 방식이다[3]. 운전 조건에 따라 이 두 방식 간의 적절한 전환을 통해 전체 속도 영역에서 안정적인 IPMSM(Interior Permanent Magnet Synchronous
                  Motor) 구동이 가능하다[4-5].
               
               최근 EV 및 HEV의 구동 전동기 제어를 비롯한 다양한 산업 분야에서는 높은 신뢰성을 확보하기 위해 센서 기반 제어와 센서리스 제어를 병행하여 사용하는
                  경우가 많다. 위치 및 속도 센서의 정상 여부를 판단하기 위해서는 추정 속도와 측정 속도 간의 편차를 이용한 모니터링 기법이 적용된다. 빠른 고장
                  검출과 알고리즘 전환을 위해서는 편차값이 낮게 유지되는 것이 중요하다. 그러나 속도 및 부하 토크 변화 시 측정값과 실제값 간의 최대 오차가 낮지
                  않으면 편차값을 줄이기 어렵고 많은 실험을 통해 최소의 편차 기준값을 정했다[5-6]. 하지만 다양한 운전조건을 모두 반영할 수 없고 급격한 부하 변동시 토크 응답에 대한 해석이 충분히 검토되지 않았다. 또한, 과도상태에서의 안정성
                  분석은 역기전력 기반 추정기와 위치와 속도 추정기에서 발생하는 편차값 및 오버슈트의 크기를 함께 고려해야 한다[7-8, 10]. 정상상태 및 과도상태 모두에서 오버슈트가 낮으면서도 성능 저하가 발생하지 않는다면, 센서리스 제어의 신뢰성과 동적 성능을 향상시킬 수 있다[11-12].
               
               본 논문에서는 EV 및 HEV의 동작 특성상 자주 발생되는 급가감속 시 편차값 및 오버슈트의 급격한 증가를 낮춰 센서리스 제어 안정성을 확보하는 제어
                  기법을 제안한다. 과도상태 보상을 고려한 IPMSM용 PLL(Phase Locked Loop) 기반 속도와 위치 추정기 설계 방법과 토크응답 성능
                  향상을 위한 전류 피드백 제어 방식을 소개하고 제안된 방식이 회전자 위치 및 속도 추정오차의 오버슈트를 효과적으로 감소시킬 수 있음을 분석한다. 전동기
                  속도 및 부하 토크가 급변할 때 실험적인 방법 대신 수학적 해석을 통해 속도 및 각도 보상 값을 도출하여 과도상태에서의 안정성을 높였고 실험을 통해
                  제안된 방식의 유효성을 확인하였다.
               
             
            
                  2. IPMSM의 확장 유기전력 기반 모델 해석	
               그림 1은 PMSM의 센서리스 제어에 적용되는 벡터 블럭도를 정의한다. α-β축은 정지 좌표계를, d-q축은 회전자 좌표계를 나타내고 γ-δ축은 센서리스
                  제어에 적용되는 가상좌표계를 나타낸다. Δθ는 위치 오차이며 d-q축과 γ-δ축의 차이로 표현된다. 추정된 회전좌표계(γ-δ축)에서 IPMSM의 전압
                  방정식은 다음과 같이 유도된다[2].
               
               
               
               여기서, Vγ, Vδ는 동기좌표계 γ-δ축 고정자 전압, iγ, iδ는 γ-δ축 고정자 전류, $p=d/dt$, $\widetilde{L}=L_{d}-L_{q}$를
                  의미한다. 식 (2)에서 비돌극성 전동기의 γ-δ 축 전압 방정식은 $\widetilde{L}=0$ 이므로 비교적 간단하지만, IPMSM과 같은 돌극성 전동기의 경우는
                  복잡한 수식이므로 쉬운 수학적 모델 해석을 위해 확장 유기전력(Extended Electromotive Force) 방식이 제안되었다.
               
               식 (1)에서 IPMSM의 d-q축 전압 방정식은 다음과 같이 나타낼 수 있다.
               
               
               
               $E_{ex}$는 확장 유기전력으로 γ-δ축에 대한 전압 방정식은 식 (5)와 같다.
               
               
               
               
                     
                     
그림 1. PMSM 공간벡터 블럭도
                  
                  
                     
Fig. 1. PMSM space vector diagram
                   
               식 (6)의 마지막 항은 속도 오차가 정상상태 조건에서 충분히 낮은 값으로 식 (5)는 식 (7)로 표현할 수 있다.
               
               
               γ-δ축에 대한 추정 $E_{ex}$에서 추정 위치 오차는 최종적으로 식 (8)로 도출된다.
               
               
             
            
                  3. 확장 유기전력(Extended EMF) 추정기	
               외란 관측기를 이용한 확장 유기전력($E_{ex}$) 추정의 블럭도를 그림 2에 나타냈다. 외란 관측기에는 시스템의 역방향 모델을 결정하기 위해 미분 연산자가 포함되고, 식 (9)와 같이 외란 관측기에는 미분 연산으로 인한 노이즈 신호 증폭 현상을 최소화하기 위한 저역 통과 필터와 고역 통과 필터가 포함되어야 한다. 따라서
                  추정기의 안정성을 높이기 위해서는 관측기의 이득 선택이 필수적이다[2].
               
               
                     
                     
그림 2. 확장 유기전력 추정을 위한 등가형태
                  
                  
                     
Fig. 2. Equivalent form for EEMF estimation
                   
               
               
               식 
(9)에서 $\overline{R}$, $\overline{L_{d}}$, $\overline{L_{q}}$는 공칭 전동기 제정수이고 $\vec{\hat{E}_{\gamma\delta}}$는
               γ-δ축의 역기전력 벡터이다. $\vec{V_{\gamma\delta}^{*}}$와 $\vec{V_{\gamma\delta}}$는 각각 γ-δ축의
               기준전압 및 고정자 전압 벡터이다. $\vec{I_{\gamma\delta}}$는 γ-δ 축의 고정자 전류 벡터이고 $j$는 허수 단위이면 $\vec{\hat{E}_{\gamma\delta}}=\hat{e}_{\gamma}+j\hat{e}_{\delta}$
               이다. 외란 관측기 이득 $g_{ob}$는 각속도 $\omega_{r}$보다 충분히 커야 한다.
               
               
               
일반적으로 $g_{ob}$는 $\omega_{r}$의 두 배로 선택할 수 있다. 또한 $g_{ob}$의 최솟값도 고려해야 한다. 따라서 안정한 $g_{ob}$의
                  범위는 식 (10)으로 정의할 수 있다[6, 9-11].
               
               
               여기서 $k_{e}$는 역기전력 상수이고 $\alpha_{c}$는 전류 제어기의 대역폭이고, $| i |_{\max}$는 고정자 전류의 최댓값, $m_{ob}$는
                  적절한 역기전력 추정을 위해 선정한 값이다[6].
               
             
            
                  4. 속도와 위치 추정기	
               
                     4.1 PLL형 추정기 해석
                  외란 관측기 출력에 대한 회전자 위치 및 속도는 PLL형 추정기를 사용하여 추정할 수 있다. 실제 위치 오차와 추정 위치 오차의 차이가 식 (11)과 같이 매우 작다면, 그림 3과 그림 4로부터 식 (12)와 같이 나타낼 수 있다[11].
                  
                  
                  
                  
                        
                        
그림 3. 2차 시스템 근사화를 위한 극점 위치
                     
                     
                        
Fig. 3. Pole placement for 2nd order system approximation
                      
                  
                        
                        
그림 4. PLL형 추정기를 이용한 위치와 속도 추정
                     
                     
                        
Fig. 4. Position and speed estimation using PLL-type estimator
                      
                  여기서 $K_{ep}$와 $K_{ei}$는 PLL형 추정기의 PI 이득값이고, $s$는 복소주파수 변수이다. 추정된 회전자 각속도는 식 (12)와 그림 4를 이용하여 구할 수 있다.
                  
                  
                  식 (12)를 식 (13)에 대입하고 $g_{ob}$의 최솟값을 PLL형 추정기 대역폭 𝜌의 5배 값으로 선택하여 $g_{ob}$에 의한 대역폭 영향을 무시하면 $\hat{\omega}_{r}$은
                     식 (14)와 같이 표현할 수 있다.
                  
                  
                  따라서 3차 특성 다항식의 표준방정식은 식 (15)와 같이 결정된다.
                  
                  
                  
                  여기서 ζ는 감쇠비이고 $\omega_{n}$은 고유 진동수이다. 추종 성능과 안정성을 높이기 위해서는 $\omega_{n}$과 ζ의 선택을 고려해야
                     한다. ζ를 1로 설정하면 두 극점이 같은 지점 -𝜌에 위치해서 안정적인 시스템인 임계 감쇠 특성으로 설계된다. 따라서 $\omega_{n}$을
                     이용하여 동적 응답과 안정성을 결정할 수 있다. 4.2절에서는 안정적인 대역폭을 얻기 위해 이러한 변수를 어떻게 선택해야 하는지 해석한다.
                  
                
               
                     4.2 속도와 위치 추정기 대역폭 𝜌의 결정
                  PLL형 추정기 대역폭 𝜌을 정의하기 위해 가속도가 일정하고 $\omega_{r}$이 짧은 시간 간격 동안 램프(ramp)응답으로 변경된다고 가정하면
                     추정 속도와 추정 위치 간의 관계식는 다음과 같이 정의할 수 있다[4-5, 7-8].
                  
                  
                  여기서 $\Delta\omega_{r}^{*}$와 $\Delta\theta_{r}^{*}$는 Lyapunov 이론에서 오차 동특성을 고려한 안정된
                     평형점이다. 위 첨자의 기호 ‘ ′ ʼ는 미분항을 나타내는 변수이고 𝜌는 식 (18)로 주어진다.
                  
                  
                  $|\Delta\hat{\theta}|_{\max}$는 허용 과도상태의 최대 오차각이고, $\left |\acute{\omega_{r}}\right
                     |_{\max}$는 동일 조건에서의 최대 가속도이다. 
                  
                  식 (18)에서 높은 𝜌를 선택하면 PLL형 추정기의 추적 오차가 감소하지만 잡음 신호의 영향이 커진다. 따라서 저속에서 낮은 역기전력 대비 커진 잡음 신호의
                     영향으로 최대 오차각이 증가한다.
                  
                
             
            
                  5. 과도상태에서 속도 응답 개선	
               
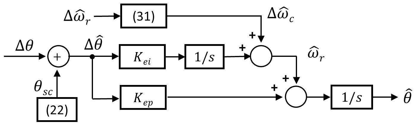
                     5.1 추정된 위치 오차의 보상 설계
                  $\Delta\hat{\theta}$은 정상상태에서 속도 오차가 충분히 낮다는 가정하에 식 (8)과 같이 유도된다. 그러나 추정된 속도 오차가 높으면 γ-δ축 전류는 d-q축 전류를 사용하여 결정될 수 있으며, 그림 1에서 확인할 수 있다[12].
                  
                  
                  
                  식 (19)와 식 (20)을 식 (6)과 비교하면 γ-δ 축의 역기전력은 식 (21)과 같이 구할 수 있다.
                  
                  
                  여기서 $\Delta\omega_{r}=\omega_{r}-\hat{\omega}_{r}$이고 $\Delta\hat{\theta}$은 식 (22)로 표현된다.
                  
                  
                  여기서 $\theta_{sc}$는 과도상태에서 γ-δ축과 d-q축의 빠른 정렬에 대한 보상각이다. 그리고 $\Delta\omega_{r}$은 다음
                     5.2절에서 설명하는 식 (30)을 통해 추정할 수 있다.
                  
                
               
                     5.2 추정된 속도 오차의 보상 설계
                  그림 4의 EEMF 추정을 사용한 PLL형 추정기의 입력 오차 신호는 전동기의 제정수 오차가 없고, 정확한 전향보상 제어와 충분히 큰 전류제어기 대역폭을
                     가정하면 식 (23)과 같이 정의할 수 있다.
                  
                  
                  여기서 $\sigma_{d}$와 $\sigma_{q}$는 γ-δ축의 오차 신호이다. 또한, 기준 전류 $i_{d}^{*}$ 및 $i_{q}^{*}$와
                     기준 전압 $V_{d}^{*}$, $V_{q}^{*}$은 추정 전압 $\hat{V}_{d}$, $\hat{V}_{q}$ 및 실제 전압 $V_{d}$,
                     $V_{q}$을 구하는 데 사용되어 잡음 신호 영향을 줄인다[5]. 그리고 회전자 동기좌표계에서 오차 신호 벡터 ${\sigma}$는 식 (24)에 의해 유도될 수 있다[4-5].
                  
                  
                  여기서 $\vec{\hat{v}}$는 인버터의 출력 전압 벡터이고, $\vec{\hat{i}}$는 인버터의 출력 전류 벡터이다. 만일 $\rho$가
                     $\alpha_{c}$보다 10배 낮게 설정하면 전류 동특성의 영향을 무시할 수 있다. 정확한 전류 제어를 가정하면 $\vec{\hat{v}}$와
                     $\vec{\hat{i}}$는 $\vec{\hat{v}}=\left[V_{d}^{*}V_{q}^{*}\right]^{T}$와 $\vec{\hat{i}}=\left[i_{d}^{*}i_{q}^{*}\right]^{T}$로
                     정의할 수 있고 식 (24)에 따라 오차 신호 $\sigma_{d}$는 다음과 같이 표현된다.
                  
                  
                  여기서 $\Delta L_{q}=L_{q}-\hat{L}_{q}$ 및 $\Delta L=L_{q}-L_{d}$. 전동기 제정수 오차가 없고 전동기가
                     정상상태에서 회전하는 경우 식 (25)는 다음과 같이 단순화될 수 있다.
                  
                  
                  동일한 방법으로 $\sigma_{q}$는 다음과 같이 유도된다.
                  
                  식 (26)과 식 (27)로부터, 속도 정보는 오차 신호의 절대값에 의해 결정될 수 있다.
                  
                  
                  
                  추정된 속도 오차 $\Delta\hat{\omega}_{r}$는 식 (29)를 통해 구한다.
                  
                  
                  
                  오차 신호의 절대값 $|\sigma |$은 식 (23)에서 계산할 수 있다. 또한, $m_{sc}$는 속도 변화에 대한 수동 튜닝 값이며, $\Delta\hat{\omega}_{c}$는 $\hat{\omega}_{r}$의
                     보상 성분으로 사용할 수 있다. 추정 속도 오차와 각도 오차를 보상하는 블럭도는 그림 5와 같고 식 (31)을 사용하는$\Delta\hat{\omega}_{c}$와 식 (22)를 사용하는 $\theta_{sc}$는 가속 및 감속과 같은 속도 변화에 대한 보상값을 갖는다.
                  
                  
                        
                        
그림 5. 추정각과 속도 오차 보상 방법을 이용한 제안된 PLL형 추정기
                     
                     
                        
Fig. 5. Proposed PLL-type estimator using estimated angle and speed error compensation
                           method
                        
                      
                
             
            
                  6. 과도상태에서 토크 응답 개선	
               
                     6.1 피드백 전류 제어를 이용한 보상 설계
                  추정 위치 오차의 오버슈트는 과도응답 안정성을 개선하기 위해 감소되어야 한다. 기준 토크가 감소하면 q축 전류가 감소하고 q축 인덕턴스는 자기 포화로
                     순간적으로 증가한다. 증가된 q축 인덕턴스는 추정 위치 오차의 오버슈트를 유발한다. 높은 추정 위치 오차는 제어각 슬립의 가능성을 높이고 센서리스
                     제어시스템의 불안정성을 증가시키게 된다. 따라서 $\Delta\hat{\theta}$의 낮은 오버슈트가 필요하다.
                  
                  
                  식 
(2)와 식 
(6)에서 속도가 짧은 시간 동안 변하면 $\Delta\hat{\theta}$의 오버슈트가 발생한다. 추정 속도 오차가 작지 않다고 가정하면 식 
(6)은 식 
(22)로부터 다음과 같이 표현된다.
                  
                  
                  
                  
                        
                        
그림 6. 제안된 전류 피드백 제어의 블럭도
                     
                     
                        
Fig. 6. Block diagram of proposed current feedback control
                      
                  여기서 $\theta_{FC}$는 과도상태에서 d-q축과 γ-δ축의 정렬에 대한 보상 각도이고, $E_{ex}$와 $\Delta\omega_{r}$은
                     q축 전류와 관련된 주요 항이다. 또한, q축 전류의 추정오차는 PI 제어기에 입력되어 속도 추정값을 얻는다. 따라서 $\theta_{FC}$는 전류
                     피드백 제어를 통해 식 (33)과 같이 보상될 수 있다.
                  
                  
                  여기서 $m_{ac}$은 과도상태에서 추정된 위치 오차를 0으로 만들기 위한 수동 튜닝 값이다. $k_{p}$와 $k_{i}$는 전류 피드백 제어기의
                     PI 이득이다. 일반적으로 $i_{q}$의 기준값은 과도상태에서 입력 토크 변화에 따라 변경된다. 이러한 급격한 변화는 짧은 시간 동안 전동기의 인덕턴스
                     변화를 초래하고, $\Delta\hat{\theta}$의 오차를 발생시킨다. 따라서 q축 기준 전류와 δ축 전류의 차이값을 이용한 보상 방법이 효과적이다.
                     각도 보상에 대한 블럭도는 그림 6에 나타냈다.
                  
                
               
                     6.2 피드백 전류 제어의 안정성 해석
                  추정기의 오차 동특성은 식 (17), 식 (33) 및 그림 6에서 다음과 같이 주어진다.
                  
                  
                  오차 동특성은 중속 및 고속에서 $\Delta\acute{\omega}_{r}\approx\Delta\omega_{r}$와 함께 식 (35)로 표현될 수 있다.
                  
                  
                  비선형 시스템의 안정성은 특성 다항식의 계수로 정의될 수 있다. PLL형 추정기 대역폭은 100 rad/s로 설정하고 특성 다항식을 구한다[11].
                  
                  
                  
                  Routh-Hurwitz 안정 기준을 사용하면, 특성 다항식의 계수가 $m_{1}>0$, $m_{2}>0$과 같이 양수이면 비선형 시스템은 안정하다.
                     따라서 안정 조건은 다음과 같이 정의할 수 있다.
                  
                  
                  
                  만일 $K_{2}$가 0.15로 설정되면 $K_{1}$은 1.7보다 작은 값을 설정해야 한다. 또한, 폐루프 극점, 감쇠비, 비감쇠 고유 진동수는
                  다음과 같이 정의된다.
                  
                  
                  
                
             
            
                  7. 실험 결과	
               
                     7.1 피드백 전류 제어를 이용한 보상 설계
                  실험을 위한 센서리스 제어 구동시스템의 구성은 그림 7에서 보여준다. PLL형 추정기와 외란 관측기를 사용하여 추정된 각도와 속도를 구했고, 추정된 신호의 정확도는 엔코더 출력 신호를 통해 평가하였다.
                     표 1에 나열된 전동기 제정수는 제안된 방법의 성능을 비교하기 위해 평가에 적용된다. 센서리스 제어를 위한 제어변수는 다음과 같이 설정하였다. 여기서 $\alpha_{c}$는
                     전류 제어기 대역폭이다.
                  
                  \begin{align*}\alpha_{c}=3 140 rad/s,\:  |\Delta\hat{\theta}|_{\max}=10\deg .,\: \left
                     |\acute{\omega}_{r}\right |_{\max}=2 073 rad/s\\g_{ob}=1 000 rad/s,\: \rho =100 rad/s,\:
                     m_{ob}=0.12,\:  m_{ac}=0.15\end{align*}
                  
                  
                        
                        
그림 7. 확장 유기전력 기반 센서리스 제어 실험 블록도
                     
                     
                        
Fig. 7. Sensorless control block diagram based extended EMF method for experiments
                      
                  
                        
                        
표 1 실험에 사용된 IPMSM 파라미터
                     
                     
                        
Table 1 IPMSM parameters for experiments
                     
                     
                           
                              
                                 | 파라미터 | 값 (단위) | 
                           
                                 | 극수 | 4 | 
                           
                                 | 정격속도 | 1 500 (min-1)
                                  | 
                           
                                 | 정격토크 | 1.8 (Nm) | 
                           
                                 | 고정자 저항 | 0.814 (Ω) | 
                           
                                 | d축 인덕턴스 | 10.7 (mH) | 
                           
                                 | q축 인덕턴스 | 26.3 (mH) | 
                           
                                 | 역기전력 상수 | 0.14693 (V·s/rad) | 
                           
                                 | 회전자 관성모멘트 | 0.001641 (kg-m2)
                                  | 
                        
                     
                   
                
               
                     7.2 속도 응답의 동적 특성
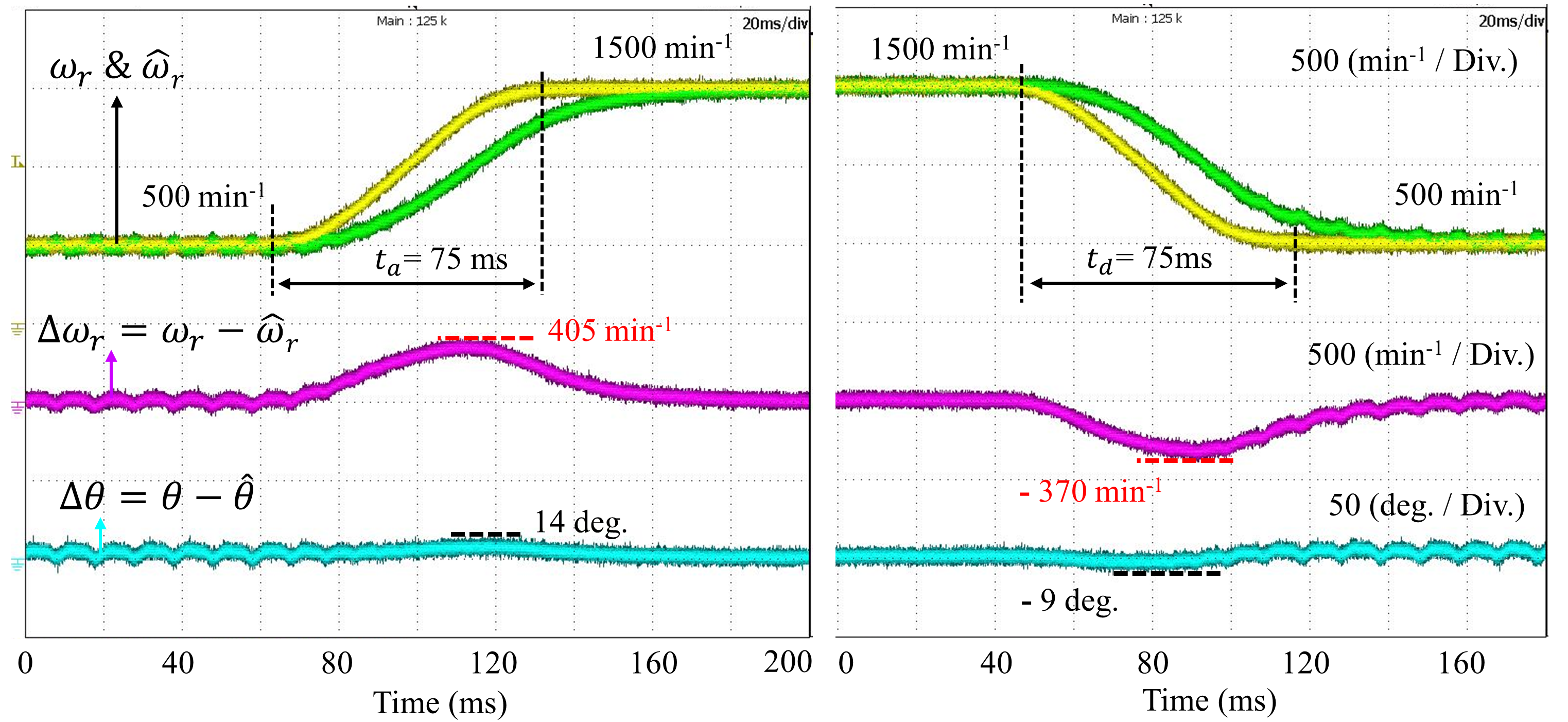
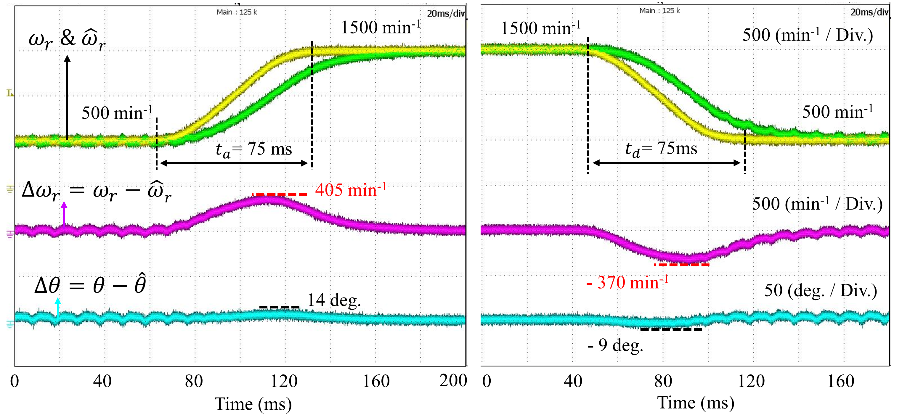
                  추정기의 그림 8은 제안된 보상 방법의 타당성을 평가하기 위한 실험 세트을 보여준다. 4극 IPMSM의 사양은 표 1과 같이 1.8 Nm, 3 Arms, 1 500 min-1이다. 그림 9는 1 Nm에서 75 ms의 시간 동안 속도가 500 min-1에서 1 500 min-1로 램프 방식으로 변경될 때 기존 방식의 속도 응답을 보여준다. $m_{sc}=1$ 일 때 $\Delta\omega_{r}$의 최대 오버슈트는 가속
                     및 감속 시간에서 각각 약 400 min-1과 –370 min-1이다. 그림 10는 제안된 방식을 1 Nm 미만의 PLL형 추정기에 적용했을 때 추정된 속도 및 위치 오차값에 대한 과도상태 파형을 보여준다. 가속 시간에서 $\Delta\omega_{r}$의
                     최대 오버슈트는 약 200 min-1이고 감속 시간에서 -190 min-1이다.
                  
                  실험 결과에서 제안된 보상 전략은 보상되지 않은 PLL형 추정기를 사용하는 방법보다 더 낮은 오버슈트를 보여준다. 따라서 보상된 PLL형 추정기를
                     통해 더 안정한 동특성을 얻을 수 있다.
                  
                  
                        
                        
그림 8. 제안된 센서리스 제어 검증용 실험 장치
                     
                     
                        
Fig. 8. Experimental setup for proposed sensorless control verification
                      
                  
                        
                        
그림 9. 기존 방식에서 속도 가감속시 $\Delta\omega_{r}$ 변동
                     
                     
                        
Fig. 9. $\Delta\omega_{r}$ variance at acceleration and deceleration under conventional
                           method
                        
                      
                  
                        
                        
그림 10. 제안된 방식에서 속도 가감속시 $\Delta\omega_{r}$ 변동
                     
                     
                        
Fig. 10. $\Delta\omega_{r}$ variance at acceleration and deceleration under proposed
                           method
                        
                      
                
               
                     7.3 토크 응답의 동적 특성
                  그림 11은 500 min-1에서 토크를 1.8 Nm에서 0.1 Nm까지 감소시킬 때 최대 오버슈트 값을 비교한 실험 결과를 보여준다. 전류 피드백 제어를 사용하여 보상하지 않은
                     추정 속도 오차와 각도 오차의 최대 오버슈트 값은 각각 360 min-1과 53°인 반면, 식 (33)에서 mac 값을 0.15로 선택했을 때 제안된 보상 방법을 사용한 오버슈트 값은 각각 120 min-1과 23.5°이다. 그림 12는 실험에서 1 500min-1에서 제안된 전류 피드백 제어와 이를 사용하지 않은 경우의 오버슈트를 비교한 결과를 나타낸다. 제안된 보상 기법에서 추정된 위치 오차의 최대 오버슈트
                     값은 보상되지 않은 센서리스 제어보다 낮은 값을 보인다.
                  
                  
                        
                        
그림 11. 500 min-1에서 $\Delta\omega_{r}$ & $\Delta\theta$ 오버슈트 크기 비교
                        
                     
                     
                        
Fig. 11.  Overshoot value comparison of $\Delta\omega_{r}$ & $\Delta\theta$ at 500
                           min-1
                      
                  
                        
                        
그림 12. 1 500 min-1에서 $\Delta\omega_{r}$ & $\Delta\theta$ 오버슈트 크기 비교
                        
                     
                     
                        
Fig. 12. Overshoot value comparison of $\Delta\omega_{r}$ & $\Delta\theta$ at 500
                           min-1
                      
                  만일 그림 13은 다양한 속도 조건에서 최대 오버슈트 값을 비교한 실험 결과를 보여준다. 실험 조건은 그림 11 및 그림 12와 동일하다. 스텝 토크 응답에 따른 오버슈트 값 변화를 확인하기 위해 속도를 500 min-1에서 1 500 min-1까지 100 min-1씩 증가시켰다. 빨간색 선은 보상 기법을 적용했을 때 500 min-1에서 1 500 min-1까지 추정된 위치 오차의 최대 오버슈트 값이고, 파란색 선은 보상 기법을 적용하지 않았을 때의 최대오버슈트 값이다.
                  
                  
                        
                        
그림 13. 500 min-1에서 1 500 min-1까지 보상 전과 후의 $\Delta\theta_{peak}$ 크기 비교
                        
                     
                     
                        
Fig. 13. $\Delta\theta_{peak}$ value comparison before and after compensation from
                           500 min-1 to 1 500 min-1
                      
                  속도가 증가함에 따라 보상 방법이 적용된 센서리스 제어의 오차각도 오버슈트 값이 기존의 센서리스 제어보다 낮은 값을 보인다. 700 min-1에서 1 100 min-1에서 일시적으로 보상된 오차각이 증가하는데 본 논문에서는 과도상태 실험의 안정성과 다른 제어변수 변동에 의한 영향을 최소화하기 위해 일정한 𝜌와
                     mac로 실험하였기 때문이다. 속도 증가에 따른 𝜌의 최적화와 mac 설정값의 변경을 통해 오차각의 오버슈트 피크값은 개선할 수 있다. 따라서 제안된
                     피드백 전류 제어 기법을 적용해 개선된 센서리스 제어 성능을 얻을 수 있는 것을 실험으로 확인했다.
                  
                
             
            
                  8. 결 론	
               본 논문에서는 PLL형 추정기의 보상 기법을 제안하여 빠른 가속, 감속, 토크 변화와 같은 과도상태에서의 동적 성능을 향상시켰다. 제안된 기법에는
                  속도 및 각도 보상 항이 포함되고, 이를 통해 과도상태에서의 오버슈트 각도 및 속도의 최댓값을 감소시켜서 빠른 동적 응답이 가능해 센서리스 제어의
                  성능을 높일 수 있다. 실험 결과를 통해서 제안한 보상 기법을 적용했을 때 추정된 속도 및 위치 오차의 최대 오버슈트가 보상되지 않은 센서리스 제어
                  방식보다 최대 오버슈트 값이 낮은 값으로 제한됨을 확인하였다.
               
             
          
         
            
                  
                     References
                  
                     
                        
                        M. S. Rafaq and J. W. Jung, “A comprehensive review of state-of-the art parameter
                           estimation techniques for permanent magnet synchronous  motors in wide speed range,”
                           IEEE Trans. Ind. Inform., vol. 16, no. 7, pp. 4747-4758, Jul. 2020. DOI:10.1109/TII.2019.2944413

 
                     
                        
                        S. Morimoto, K. Kawamoto, M. Sanada and Y. Takeda, “Sensorless control strategy for
                           salient-pole PMSM based on extended EMF in rotating reference frame,” IEEE Trans.
                           Ind. Application, vol. 38, no. 4, pp. 1054-1061, Jul. 2002. DOI:10.1109/IAS.2001.955991

 
                     
                        
                        J. H. Jang, S. K. Sul, J. I. Ha, K. Ide and M. Sawamura, “Sensorless drive of surface-mounted
                           permanent-magnet motor by high-frequency signal injection based on magnetic saliency,”
                           IEEE Trans. Ind. Appl., vol. 39, no. 4, pp. 1031-1039, Jul./Aug. 2003. DOI:10.1109/TIA.2003.813734

 
                     
                        
                        L. Harnefors and H.-P. Nee, “A general algorithm for speed and position estimation
                           of AC motors,” IEEE Trans. Ind. Elec., vol. 47, no. 1, pp. 77-83, Feb. 2000. DOI:10.1109/41.824128

 
                     
                        
                        O. Wallmark, L. Harnefors and O. Carlson, “An improved speed and position estimator
                           for salient permanent-magnet synchronous motors,” IEEE Trans. Power Electron., vol.
                           52, no. 1, pp. 255-262, Feb. 2005. DOI:10.1109/TIE.2004.841088

 
                     
                        
                        Z. Chen, M. Tomita, S. Doki and S. Okuma, “An extended electromotive force model for
                           sensorless control of interior permanent magnet synchronous motors,” IEEE Trans. Ind.
                           Electron., vol. 50, no. 2, pp. 288-295, Apr. 2003. DOI:10.1109/TIE.2003.809391

 
                     
                        
                        H. Kim, M. C. Harke and R. D. Lorenz, “Sensorless control of interior permanent-magnet
                           machine drives with zero-phase lag position estimation,” IEEE Trans. Ind. Appl., vol.
                           39, no. 6, pp. 1726-1733, Nov./Dec. 2003. DOI:10.1109/TIA.2003.818966

 
                     
                        
                        O. Wallmark and L. Harnefors, “Sensorless control of salient PMSM drives in the transition
                           region,” IEEE Trans. Ind. Electron., vol. 53, no. 4, pp. 1179-1187, Jun. 2006. DOI:10.1109/TIE.2006.878315

 
                     
                        
                        R. W. Hejny and R. D. Lorenz, “Evaluating the practical low-speed limits for back-EMF
                           tracking-based sensorless speed control using drive stiffness as a key metric,” IEEE
                           Trans. on Ind. Appl., vol. 47, no. 3, pp. 1337-1343, May/Jun. 2011. DOI:10.1109/TIA.2011.2126013

 
                     
                        
                        A. Piippo, M. Hinkkanen, and J. Luomi, “Analysis of an adaptive observer for sensorless
                           control of interior permanent magnet synchronous motors,” IEEE Trans. Ind. Electron.,
                           vol. 55, no. 2, pp. 570-576, Feb. 2008. DOI:10.1109/TIE.2007.911949

 
                     
                        
                        D. Lee and K. Akatsu, “The study on gain selecting method of position sensorless control
                           algorithm for IPMSM,” in Proc. IEEE 12th Int. Conf. Power Electron. Drive Syst., pp.
                           728-733, 2017. DOI:10.1109/PEDS.2017.8289269

 
                     
                        
                        D. Lee and K. Akatsu, “An improved speed and position estimator for transient performance
                           of back-EMF self-sensing for IPMSM,” in Proc. 44th Annu. Conf. IEEE Ind. Electron.
                           Soc., pp. 397-402, Oct. 2018. DOI:10.1109/IECON.2018.8591825

 
                   
                
             
            저자소개
            
            
               
               
               He received the B.S. and M.S. degrees in mechatronics from Korea University, Korea,
               in 2004 and 2008, respectively, and the Ph.D. degree in functional control systems
               from Shibaura Institute of Technology, Tokyo, Japan, in 2019. From 2008 to 2021, he
               was with the EV R&D Laboratory, LG Electronics, Seoul, Korea. From 2021 to 2023, he
               was with the Inverter Development Division, LG Magna e-Powertrain, Incheon, Korea.
               From October 2023, he is currently an Assistant Professor in in the Dept. of Electrical
               Engineering at Cheongju University. His major interests are electric machine drives,
               power conversion and fault detection in electric vehicle applications.