์ ์ฑ์
(Seong-Soo Jeong)
1iD
๊น์ฒ ํ
(Chul-Hwan Kim)
โ iD
-
(Dept. of Electrical and Computer Engineering, Sungkyunkwan University, Republic of
Korea.)
Copyright ยฉ The Korea Institute for Structural Maintenance and Inspection
Key words
Battery Energy Storage System (BESS), Heuristic operation, Hybrid UPS?ESS(HUE), Long Short-Term Memory (LSTM), State-of-Charge (SOC)
1. ์ ๋ก
๊ธฐํ ๋ณํ์ ๋ฐ๋ฅธ ํ๊ฒฝ ์๊ธฐ์ ์ฌํ๋ก ์ธํด ์ ์ธ๊ณ ๊ฐ๊ตญ์ ํ์ ๋ฐฐ์ถ ์ ๊ฐ๊ณผ ์ง์ ๊ฐ๋ฅํ ์๋์ง ์ ํ์ ํ์์ฑ์ ๊ฐ์กฐํ๊ณ ์๋ค. 2015๋
์ฑํ๋
ํ๋ฆฌํ์ ์ ๋ฐ๋ผ ๋ํ๋ฏผ๊ตญ์ ํฌํจํ 195๊ฐ๊ตญ์ 2050๋
๊น์ง ํ์์ค๋ฆฝ์ ์คํํ๊ธฐ ์ํ ๊ตญ๊ฐ ์จ์ค๊ฐ์ค ๊ฐ์ถ ๋ชฉํ๋ฅผ ์๋ฆฝํ๊ณ ์ด๋ฅผ ์ดํํ๊ณ ์๋ค[1]. ์ด๋ฌํ ํ๋ฆ ์์์ ์ฐ์
๊ณ๋ ESG(Environmental, Social, and Governance) ๊ธฐ๋ฐ ๊ฒฝ์์ ๊ฐํํ๊ณ ์์ผ๋ฉฐ, ์ฌ์์๋์ง
100% ์ฌ์ฉ์ ๋ชฉํ๋ก ํ๋ RE100(Renewable Energy 100%) ์บ ํ์ธ์ ๋์ฐธํ๋ ๊ธฐ์
๋ค์ ์๊ฐ ์ ์ฐจ ์ฆ๊ฐํ๊ณ ์๋ค[2].
์ด๋ฌํ ์ฌ์์๋์ง์ ๋ณด๊ธ ํ๋๋ ์ ๋ ฅ๋ง ์ด์์ ๋ถํ์ค์ฑ์ ์ฆ๊ฐ์ํค๋ ์ฃผ์ ์์ธ์ผ๋ก ์์ฉํ๊ณ ์๋ค. ํนํ ํ์๊ด ๋ฐ์ (Photovoltaic, PV)์
๊ธฐ์ ์กฐ๊ฑด์ ๋ฐ๋ผ ์ถ๋ ฅ์ด ๊ธ๊ฒฉํ ๋ณํํ๋ ํน์ฑ์ ๊ฐ์ง๋ฏ๋ก, ๋ฐ์ ๋ ์์ธก๊ณผ ์ด์ ๊ธฐ๋ฐํ ์ด์ฉ ์ ๋ต์ด ์๋ฐ๋์ง ์๋ ๊ฒฝ์ฐ ์ ๋ ฅ ํ์ง ๋ฐ ๊ณต๊ธ ์์ ์ฑ ํ๋ณด์
์ด๋ ค์์ด ๋ฐ๋ฅธ๋ค. ์ด๋ฅผ ๋ณด์ํ๊ธฐ ์ํด ํ์๊ด ๋ฐ์ ์ค๋น์ ๋ฐฐํฐ๋ฆฌ ์๋์ง ์ ์ฅ ์ฅ์น(Battery Energy Storage System, BESS)์์
์ฐ๊ณ๊ฐ ํ๋๋๊ณ ์์ผ๋ฉฐ, ๊ณต๊ณต๊ธฐ๊ด์ ESS ์ค์น ์๋ฌดํ ์ ์ฑ
์ผ๋ก ๋ณด๊ธ๋ ํ์ฐ๋๊ณ ์๋ค[3].
ํํธ, ์ฃผ์ ๋ถํ์ ์ ๋ ฅ ์์ ์ฑ์ ํ๋ณดํด์ผ ํ๋ ์ฐ์
์ฒด์์๋ ๋ฌด์ ์ ์ ์์ฅ์น(Uninterruptible Power Supply, UPS)์ ํ์ฉ์ด
ํ์์ ์ด๋ฉฐ, ์ต๊ทผ์๋ UPS์ ESS๋ฅผ ๋์์ ์ฌ์ฉํ๋ ํผํฉํ ์ด์ฉ ๋ฐฉ์์ ๊ด์ฌ์ด ๋์์ง๊ณ ์๋ค[4-5]. ๊ทธ๋ฌ๋ ๊ธฐ์กด UPS ์ด์ฉ ๋ฐฉ์์ ์ต๋ ๋ถํ ๊ธฐ์ค์ผ๋ก ์ฉ๋์ ๊ณ ์ ์ค์ ํ๋ ๊ตฌ์กฐ์ด๊ธฐ ๋๋ฌธ์, ์ ์ ์ ์์ ์ฑ์ ํ๋ณด๋๋๋ผ๋, ํ์์ ๋ถํ๊ฐ ๋ฎ๊ณ
์ ์ ๋ฐ์ ํ์๊ฐ ๋งค์ฐ ๋ฎ์ ์ฐ์
ํ๊ฒฝ์์๋ UPS์ ํ์ฉ๋๊ฐ ์ ํ๋๋ ํ๊ณ๊ฐ ์๋ค. ์ด๋ฅผ ๊ฐ์ ํ๊ธฐ ์ํด ์ค์๊ฐ ๋ถํ ๋ณํ์ ๋ง์ถฐ UPS ์ฉ๋์ ์ ์ฐํ๊ฒ
์กฐ์ ํ๋ ์ต์ ํ ๊ธฐ๋ฐ ์ ์ด๊ฐ ๊ณ ๋ ค๋ ์ ์์ผ๋, ๋์ ์ฐ์ฐ ๋ณต์ก๋์ ์ค์๊ฐ ์ ์ฉ์ ์ด๋ ค์์ผ๋ก ์ฐ์
ํ์ฅ์์์ ์ค์ ์ ์ฉ์๋ ์ ์ฝ์ด ๋ฐ๋ฅธ๋ค.
์ด๋ฌํ ๋ฌธ์ ๋ฅผ ํด๊ฒฐํ๊ธฐ ์ํด ๋ณธ ์ฐ๊ตฌ๋ ๋ถํ ๋ฐ PV ๋ฐ์ ๋์ ๋จ๊ธฐ ์์ธก ์ ๋ณด๋ฅผ ํ์ฉํ ํด๋ฆฌ์คํฑ ์ด์ฉ ์ ๋ต์ ์ ์ํ๋ค. ๊ตฌ์ฒด์ ์ผ๋ก๋ LSTM(Long
Short-Term Memory) ๊ธฐ๋ฐ ์์ธก ๋ชจ๋ธ์ ํ์ฉํ์ฌ PV ์ถ๋ ฅ๊ณผ ๋ถํ์ ๋จ๊ธฐ ์์ธก ๋ฐ์ดํฐ๋ฅผ ํ๋ณดํ๊ณ , ๊ทธ ํ์ฌ๊ฐ๊ณผ ์์ธก๊ฐ์ ๊ธฐ๋ฐ์ผ๋ก UPS
์ด์ฉ ์กฐ๊ฑด์ ๋์ถํ์๋ค. ์ด๋ฅผ ์กฐ๊ฑด ํจ์๋ก ๊ตฌ์ฑํ์ฌ, UPS ๋์ ์ ํ์ํ ๋ฐฐํฐ๋ฆฌ SOC(State of Charge)๋ฅผ ๋์ ์ผ๋ก ์กฐ์ ํ์๋ค[6]. ๋ํ, ์์ธก ๋ฐ์ดํฐ์ ์ค์ฐจ์จ์ ๋ณด์ ๊ณ์๋ก ๋ฐ์ํจ์ผ๋ก์จ, ์ ์ ๋ฐ์ ์ ์ต์ํ์ ์๋์ง ํ๋ณด๋ฅผ ๋ณด์ฅํ๊ณ ์ ์ ์ด์ ์ ๋ฐฐํฐ๋ฆฌ์ ํจ์จ์ ํ์ฉ์ด ๊ฐ๋ฅํ๋๋ก
์ค๊ณํ์๋ค.
์ด์ ๋ฐ๋ผ ๋ณธ ์ฐ๊ตฌ๋ PV, UPS, ESS๋ฅผ ํตํฉํ Hybrid UPSโESS(HUE) ์์คํ
์ ๊ตฌ์ถํ๊ณ , ์์ธก ๊ธฐ๋ฐ ํด๋ฆฌ์คํฑ ์ ์ด ์ ๋ต์ ์ ์ฉํ์ฌ
์ค์๊ฐ์ฑ๊ณผ ์ ๋ขฐ์ฑ์ ๋์์ ํ๋ณดํ ์ ์๋ ์ด์ ๋ฐฉ์์ ์ ์ํ์๋ค. ์ ์๋ ์ ๋ต์ ์ค์ธก๋ ์ฐ์
์ฒด์ ๋ถํ์ PV ๋ฐ์ดํฐ๋ฅผ ๊ธฐ๋ฐ์ผ๋ก ๊ตฌ์ฑ๋ ์๋๋ฆฌ์ค๋ฅผ
ํตํด ํ๊ฐ๋์์ผ๋ฉฐ, ์ฃผ์ ์ฑ๋ฅ ๋น๊ต ํญ๋ชฉ์ UPS ์ฌ์ฉ๋ฅ , SOC ์์ ์ฑ, ์ ๋ ฅ ๋น์ฉ ๊ทธ๋ฆฌ๊ณ ๊ณํต ์ ๋ ฅ ์ฌ์ฉ๋์ ๋ณ๋์ฑ ๋ฑ์ผ๋ก ์ค์ ํ์๋ค.
2. Hybrid UPS-ESS ์์คํ
๊ตฌ์ฑ
2.1 ์์คํ
์ ์ ์ ๋ฐ ๊ตฌ์ฑ
HUE ์์คํ
์ UPS์ ESS๋ฅผ ํตํฉํ ํ์ด๋ธ๋ฆฌ๋ ์ ์ ์ฅ์น์ด๋ฉฐ, PV, ๋ถํ, ์ ๋ ฅ๋ง ๋ฑ๊ณผ ์ฐ๊ณ๋์ด ํตํฉ ์ ์ด๊ฐ ์ด๋ฃจ์ด์ง๋ค. ๊ธฐ์กด ์์คํ
์ UPS์
ESS๋ฅผ ๋ถ๋ฆฌํ์ฌ UPS๋ ๋น์ ์ ์์ฉ, ESS๋ ์ฒจ๋ ๋ถํ ์ ๊ฐ์ฉ์ผ๋ก ์ฌ์ฉํ๋ ์ด์ํ๋ ๊ตฌ์กฐ๋ฅผ ์ฑํํ๋ ๊ฒฝ์ฐ๊ฐ ์ผ๋ฐ์ ์ด๋ค. ์ด๋ฌํ ๋ฐฉ์์ UPS
ํ์ฉ๋ฅ ์ ํ, ESS์ ๊ณผ๋ํ ๋๊ธฐ ์ฉ๋ ์ ์ง, ์ฐ๊ณ ์ด์ฉ์ ์ด๋ ค์ ๋ฑ์ผ๋ก ์ธํด ๋ฐฐํฐ๋ฆฌ ์์์ ์ค์ง์ ์ธ ํ์ฉ ์ฉ๋์ด ์ ํ๋๋ ๋ฌธ์ ๋ฅผ ์ด๋ํ์๋ค.
์ ๋ฐ ์ฅ๋น ์ด์ฉ์ ํ๋ ์ฐ์
์ฒด์์๋ ์ ๋ ฅ ์ค๋จ์ด ์์ด์ผ ํ๋ ์กฐ๊ฑด์ ๊ณ ๋ คํ์ฌ, UPS ์ถ๋ ฅ์ด ํญ์ ๋ถํ์ ์ฐ๊ฒฐ๋์ด ์๋ On-line UPS ๋ฐฉ์์
์ฌ์ฉํ๋ค. On-line UPS๋ ์ ์ ๋ฐ์ ์ ์ ํ ์๊ฐ ์์ด ์ฆ์ ์ ๋ ฅ์ ๊ณต๊ธํ ์ ์๋ ๋ฐฉ์์ด๋ค. ์ ์ํ๋ ์์คํ
์์๋ ๊ทธ๋ฆผ 1๊ณผ ๊ฐ์ด ๊ธฐ์กด์ UPS๋ฅผ ESS์ ๋จ์ผ ์ ์ด ๋์์ผ๋ก ๊ฒฐํฉํ HUE๋ก ๋์ฒดํ์๋ค. ๋ํ, PV๋ฅผ ์ถ๊ฐํ์ฌ ์ ๋ ฅ์์ผ๋ก ๋ฐฐํฐ๋ฆฌ๋ฅผ ์ถฉ์ ํ๋ฉฐ, ๋ถํ ํฌ๊ธฐ์
๋ฐ๋ผ ์ ๋ ฅ๋ง์ ๋ณด์กฐํ๋ค. ์ด ๊ตฌ์กฐ๋ ์์ธก ๊ธฐ๋ฐ ์ด์ฉ ์ ๋ต์ด ๋ฐ์๋ ์ ์๋๋ก ์ค๊ณ๋์์ผ๋ฉฐ, ๋ถํ ๋ฐ PV์ ์์ ๋ณ ์์ธก๊ฐ์ ๋ฐ๋ผ ์ด์ ์กฐ๊ฑด์ด ๋์ ์ผ๋ก
์กฐ์ ๋๋ ํํ๋ก ๊ตฌํ๋๋ค[7].
๊ทธ๋ฆผ 1. On-line ๋ฐฉ์์ ํ์ด๋ธ๋ฆฌ๋ UPS-ESS ์์คํ
๊ตฌ์ฑ๋
Fig. 1. Configuration of Hybrid UPSโESS system based on on-line topology
2.2 ์์คํ
๋ชจ๋ธ๋ง ๋ฐ ์ํ ๋ณ์ ์ ์
HUE ์์คํ
์ ์ด์ ์ ์ด๋ฅผ ์ํด์๋ ๊ตฌ์ฑ ์์๋ค์ ์๋์ง ํ๋ฆ์ ์์์ ์ผ๋ก ๋ชจ๋ธ๋งํ๊ณ , ๊ฐ๊ฐ์ ์ํ ๋ณ์ ๋ฐ ์ ์ฝ ์กฐ๊ฑด์ ์ ์ํด์ผ ํ๋ค. ํนํ ESS๋
๋ถํ ์์ธก ์ ๋ณด๋ฅผ ๊ธฐ๋ฐ์ผ๋ก ์ถฉยท๋ฐฉ์ ์ ์กฐ์ ํจ์ผ๋ก์จ ์ ์ฒด ์์คํ
์ ์๋์ง ํจ์จ์ ๋์ผ ์ ์๋ค. ์ด๋ ํฅํ ์์ธก ๊ธฐ๋ฐ ์ด์ฉ ์ ๋ต์ ์ ์ฉ๋ ์ ์๋ ๊ธฐ์ด๊ฐ
๋๋ค.
HUE ์์คํ
์ ๊ตฌ์ฑ ์์์ธ UPS+ESS๋ฅผ ํตํฉํ์ฌ ํ๋์ ์ฐ๊ณ ๋จ์๋ก ๊ฐ์ฃผํ์ฌ HUE๋ก ๋ํ๋ผ ์ ์๋ค. HUE ์์คํ
์ ์๋์ง ํ๋ฆ์ point
of common coupling(PCC)์ ๊ธฐ์ค์ผ๋ก ํน์ ์์ t์์ ์ ๋ ฅ๊ณผ ์์ ์ ๋ ฅ์ด ๊ท ํ์ ์ด๋ฃจ๋๋ก ๋ค์ ์ (1)๊ณผ ๊ฐ์ ์๋์ง ๊ท ํ์์ผ๋ก ์ ์ํ๋ค[8]. HUE์ ์ถฉยท๋ฐฉ์ ์ ๋ ฅ์ ๋ณ๋๋ก ๋ถ๋ฆฌํ๋ฉด, ๋ฐฐํฐ๋ฆฌ์ ์ ์
๋๋ ์ ๋ ฅ๊ณผ ์ ์ถ๋๋ ์ ๋ ฅ์ผ๋ก ์ (2)์ผ๋ก ํํ๋๋ค[9]. ์ด๋์ ์ ์ฒด ๋ถํ๋ ์ (3)๊ณผ ๊ฐ์ด ์ ๋ฆฌ๋๋ค.
์ฌ๊ธฐ์ $P_{Grid}(t)$ : ์ธ๋ถ ์ ๋ ฅ๋ง์ผ๋ก๋ถํฐ ๊ณต๊ธ๋๋ ์ ๋ ฅ
$P_{PV}(t)$ : ํ์๊ด ๋ฐ์ ์ ๋ ฅ
$P_{Load}(t)$ : ์ ์ฒด Critical ๋ถํ ์ ๋ ฅ
$P_{HUE}(t)$ : UPS + ESS ์ ๋ ฅ
$P_{ch}(t)$, $P_{dis}(t)$ : ์ถฉ์ , ๋ฐฉ์ ์ ๋ ฅ
HUE์ SOC๋ ๋จ์ ์๊ฐ ๋์์ ์ถฉยท๋ฐฉ์ ์ ๋ ฅ์ ๋ฐ๋ผ์ ์ (4)์ ๊ฐ์ด ๋ํ๋ธ๋ค. ํ์ฌ ์์ ์ SOC๋ฅผ ๊ธฐ์ค์ผ๋ก, ์ถฉ์ ์ ๋ ฅ($P_{ch}(t)$)์ ๋ฐฉ์ ์ ๋ ฅ($P_{dis}(t)$)์ ๊ฐ๊ฐ์ ํจ์จ($\eta_{ch}$,
$\eta_{dis}$)์ ์ ์ฉํ๊ณ ์๊ฐ ๋จ์($\triangle t$)๋ฅผ ๊ณฑํ์ฌ ๋ฐ์ํจ์ผ๋ก ๋ค์ ์์ ์ SOC๋ฅผ ๊ณ์ฐํ๋ค[10].
2.3 ์ด์ฉ ์ ์ฝ ์กฐ๊ฑด
HUE์ ์์ธก ๊ธฐ๋ฐ ์ด์ฉ ์ ๋ต์ ํจ๊ณผ์ ์ผ๋ก ๊ตฌํํ๊ธฐ ์ํด์๋ ๊ตฌ์ฑ ์์์ ์ด์ ์ํ๋ฅผ ์ ์ดํ๊ธฐ ์ํ ์ ์ฝ ์กฐ๊ฑด์ด ์ฌ์ ์ ์ ์๋์ด์ผ ํ๋ค.
๋ฐฐํฐ๋ฆฌ ์๋ช
๋ณดํธ์ ์์ ์ ์ธ ์์คํ
์ด์์ ๋ณด์ฅํ๊ธฐ ์ํ ๋ฐฐํฐ๋ฆฌ SOC ์ยทํํ์น ์กฐ๊ฑด์ ์ (5)์ ๊ฐ์ด ์ ์ ํ๋ค. ์ถฉยท๋ฐฉ์ ์ํ๋ ๋ฐฐํฐ๋ฆฌ ์ ์ฒด ์ฉ๋์ 10% ์ด์, 90% ์ดํ์ ๋ฒ์ ๋ด์์ ์ด์ฉํ๋ค[11].
์ผ๋ฐ์ ์ผ๋ก SOC๋ ํผ์ผํธ(%) ๋จ์๋ก ํํ๋๋, ๋ณธ ์ฐ๊ตฌ์์๋ ์ค์ ๋ฐ์ดํฐ๋ฅผ ๊ธฐ๋ฐ์ผ๋ก ํ ์๋ฎฌ๋ ์ด์
์ ์ํํ๊ธฐ ์ํด kWh ๋จ์๋ก ์ ๊ทํํ์ฌ ์ฌ์ฉํ์๋ค.
์ถฉยท๋ฐฉ์ ๊ณผ์ ์์์ ์๋์ง ์์ค์ ๊ณ ๋ คํ ํจ์จ์ ์ฐ์
ํต์์์๋ถ์ โ๊ณต๊ณต๊ธฐ๊ด ESS ์ค์น ๊ฐ์ด๋ ๋ผ์ธ (2016)โ์์ ์๊ตฌํ๋ ์๋์ง ์ ์ฅ ์ฅ์น์
ํจ์จ ์ต์ ๊ธฐ์ค์ธ ๐=0.95๋ก ์ค์ ํ์์ผ๋ฉฐ, ํจ์จ ์์น๊ฐ ๋์์๋ก ์
๋ ฅ ์ ๋ ฅ ๋๋นํ์ฌ ์ ์ฅ์ด๋ ๋ถํ์ ์ ๋ฌ๋๋ ์๋์ง์ ์์ด ๋์ด ๋๊ฒ ๋๋ค.
์ ๋ ฅ ์ ์ด ์ฃผ๊ธฐ(ฮ๐ก)๋ ๊ตญ๋ด ์ฐ์
์ฒด์์ ์ด์ฉํ๋ ์ฃผ๊ธฐ์ ๊ตญ๋ด์ธ ์์ฅ์์ ์ฑํํ๊ณ ์๋ 15๋ถ ๋จ์๋ฅผ ๊ธฐ์ค์ผ๋ก ํ์ฌ SOC ๊ณ์ฐ์ ๋ฐ์ํ์๋ค. ์ ์ด
์ฃผ๊ธฐ๊ฐ 15๋ถ๋ณด๋ค ์งง์ผ๋ฉด ๋ฏผ๊ฐ๋์ ์ ํ์ฑ์ด ์ฆ๊ฐํ์ง๋ง, ์๊ฐ๋น ์ฉ๋์ ํธ์ฐจ๊ฐ ํฌ์ง ์๋ค. ๊ทธ๋ฆฌ๊ณ , ์ฐ์ฐ๋ ์ฆ๊ฐ์ ๋ฐ๋ผ ๋ฐ์ดํฐ ์ฆ๊ฐ ๋ฐ ์ฒ๋ฆฌ์ ๋ํ
๋ถํ๊ฐ ์ปค์ง๊ฒ ๋๋ค. ๋ฐ๋๋ก ์ ์ด ์ฃผ๊ธฐ๊ฐ ๊ธธ์ด์ง๊ฒ ๋๋ฉด ์ฐ์ฐ ํจ์จ์ ์ข์์ง์ง๋ง, ๋ถํ ๋ณ๋์ ๋ํ ์๋ต์ฑ์ด ๋จ์ด์ง๊ฒ ๋์ด ์ ๋ขฐ๋๋ฅผ ๋ฎ์ถ๊ฒ ๋๋ค.
UPS๋ ์ ์ ๋ฐ์ ์ ์ค์ ๋ถํ์ ์๊ฐ์ ์ธ ๋๊น์ด ์์ด ์ ๋ ฅ์ ๊ณต๊ธํด์ผ ํ๋ฏ๋ก, ํด๋น ์์ ์์ ์ต์ํ์ ์๋์ง ๋ณด์ ๋์ ์ ์งํด์ผ ํ๋ค. ๋ณธ ์ฐ๊ตฌ์์๋
1๋
์ค ์ต๋ ๋ถํ๋ฅผ ๊ธฐ์ค์ผ๋ก UPS๊ฐ ์ต์ 30๋ถ ์ด์ ๋์์ด ๊ฐ๋ฅํ ์๋์ง ์ฉ๋์ ํ๋ณดํ๋๋ก ์ค์ ํ์๋ค.
๋ณธ ์ฐ๊ตฌ์์๋ ํ๊ฐ ๋ชจ๋ธ ๊ตฌ์ฑ์ ์ํด PV ์์คํ
์ ์ฉ๋์ 200kW๋ก ์ค์ ํ์์ผ๋ฉฐ, ESS ์ฉ๋์ ๊ธฐ์กด ๋ฌธํ[12]์์ ์ ์ํ ์ต์ ๊ธฐ์ค์ธ PV ์ฉ๋์ 2.5๋ฐฐ๋ก ์ค์ ํ์๋ค.
BESS ์ค์น ๋ฐ ์ด์ ๊ด๋ จํ์ฌ ๊ตญ๋ด์ธ ์์ ๊ด๋ฆฌ ๊ธฐ์ค๊ณผ ์ฐ์
ํต์์์๋ถ์ ์์ ๋์ฑ
์ ํตํด BESS์ ์ยทํํ์ 10%์ฉ ์ฌ์ ๋ฅผ ๋์๋ค. ์ด์ ๋ฐ๋ผ
์ถฉยท๋ฐฉ์ ์ ํ ์ ์๋ ์ฉ๋์ด ์ ์ฒด ์ฌ์ฉ ๋ฐฐํฐ๋ฆฌ ์ฉ๋์ 80% ์์ค์ด๊ธฐ์$C_{UPS}+C_{ESS}=0. 8C_{HUE}$ ๋ฅผ ์ด์ฉํ์ฌ ๊ณ์ฐํ ๊ฒฐ๊ณผ๋
์ด์ฉ๋์ $1MWh$๋ก ์ฐ์ถ๋๋ฉฐ, ์ด๋ $C_{HUE}$๋ก ๋ํ๋ธ๋ค.
3. LSTM ๊ธฐ๋ฐ ์์ธก ๋ฐ์ดํฐ๋ฅผ ํ์ฉํ HUE์ ํด๋ฆฌ์คํฑ ์ด์ฉ
3.1 LSTM ๋ฐ์ดํฐ ์ ์ฒ๋ฆฌ ๋ฐ ์
๋ ฅ ๊ตฌ์ฑ
๋ณธ ์ฐ๊ตฌ์์๋ LSTM ๊ธฐ๋ฐ ์์ธก ๋ชจ๋ธ์ ์
๋ ฅ ๋ณ์๋ก ๊ณต์ฅ ๋ถํ์ PV ๋ฐ์ ๋ ๋ฐ์ดํฐ๋ฅผ ํ์ฉํ์๋ค. ๊ณต์ฅ ๋ถํ ๋ฐ์ดํฐ๋ ๊ฒฝ๊ธฐ๋ ํํ ์ง์ญ์ ์ค์ ์ฐ์
ํ์ฅ์์ 15๋ถ ๊ฐ๊ฒฉ์ผ๋ก ์ธก์ ๋ ์ค์ธก ๋ฐ์ดํฐ๋ฅผ ๊ธฐ๋ฐ์ผ๋ก ํ๋ฉฐ, ๋ชจ๋ธ ํ์ต์ ํ์ฉํ์๋ค. PV ๋ฐ์ ๋ ๋ฐ์ดํฐ๋ ์ถฉ์ฒญ๋จ๋ ๋น์ง ์ง์ญ์ ์ค์น๋ PV ์์คํ
์
2023๋
1๋
์น ์ค์ธก ๋ฐ์ดํฐ๋ฅผ ์ฌ์ฉํ์๋ค. ํด๋น ๋ฐ์ดํฐ๋ ์์์ ์ผ๋ก 1์๊ฐ ๊ฐ๊ฒฉ์ผ๋ก ์ ๊ณต๋์์ผ๋ฉฐ, ์์ธก ๋ชจ๋ธ์ ํด์๋์ ๋ง์ถ๊ธฐ ์ํด ์ ํ ๋ณด๊ฐ๋ฒ์
์ ์ฉํ์ฌ 15๋ถ ๊ฐ๊ฒฉ์ผ๋ก ๋ณํํ์๋ค. 1์๊ฐ ๋จ์๋ก ์์ง๋ PV ์ถ๋ ฅ ๋ฐ์ดํฐ๋ฅผ ๊ณ ํด์๋๋ก ๋ณํ ์, ์ค์ ๋จ๊ธฐ ๊ธฐ์ ๋ณํ์ ๋ฐ๋ฅธ ์ถ๋ ฅ ๋ณ๋์ฑ์ด ์ถฉ๋ถํ
๋ฐ์๋์ง ์๋ ํ๊ณ๊ฐ ์๋ค. ์ด์ ๋ฐ๋ผ, ์์ธก ๋ชจ๋ธ์ด ํ์ค์ ์ธ ์ถ๋ ฅ ๋ณ๋์ฑ์ ์ ์ํ ์ ์๋๋ก, ํ์คํธ์ฐจ 0.2์ ๊ฐ์ฐ์์ ๋
ธ์ด์ฆ๋ฅผ ์ถ๊ฐํ์ฌ ์๊ณ์ด์์
๋ถํ์ค์ฑ์ ๋ณด์ํ์๋ค[13]. ์ต์ข
์ ์ผ๋ก, ์๋ฎฌ๋ ์ด์
ํ๊ฒฝ์ ์ ํฉํ๋๋ก PV ์ถ๋ ฅ์ 200 kW ๊ธฐ์ค์ผ๋ก ์ ๊ทํํ์ฌ ๋ชจ๋ธ ์
๋ ฅ์ ํ์ฉํ์๋ค.
3.2 LSTM ๊ตฌ์กฐ ๋ฐ ํ์ต ์ค์
LSTM์ ์๊ณ์ด ๋ฐ์ดํฐ๋ฅผ ํจ๊ณผ์ ์ผ๋ก ํ์ตํ ์ ์๋ ์ํ ์ ๊ฒฝ๋ง(Recurrent Neural Network, RNN)์ ํ์ฅํ์ด๋ค. LSTM ๊ตฌ์กฐ๋
๊ทธ๋ฆผ 2์ ๊ฐ์ด 3๊ฐ์ ๊ฒ์ดํธ(๋ง๊ฐ, ์
๋ ฅ, ์ถ๋ ฅ)์ 1๊ฐ์ ์
์คํ
์ดํธ๋ก ์ด๋ฃจ์ด์ ธ ์๋ค. ๋ง๊ฐ ๊ฒ์ดํธ์์๋ ์ด์ ์
์ํ์์์ ๋ฒ๋ฆด ์ ๋ณด๋ฅผ ์ ํํ๊ณ , ์
๋ ฅ
๊ฒ์ดํธ์์๋ ํ์ฌ ์
๋ ฅ์์ ์ค์ํ ์ ๋ณด๋ฅผ ์ ํํ๋ค. ์
์คํ
์ดํธ๋ ์ฅ๊ธฐ ๊ธฐ์ต์ด ์ ์ฅ๋์ด ์๋ ๋ด๋ถ ์ํ๋ฅผ ๋งํ๊ณ , ์ถ๋ ฅ ๊ฒ์ดํธ์์ ๋ค์ ์์ ์ผ๋ก ๋ณด๋ผ
์ ๋ณด๋ฅผ ๊ฒฐ์ ํ๊ฒ ๋๋ค.
๊ทธ๋ฆผ 2. LSTM ๊ตฌ์กฐ
Fig. 2. Structure of LSTM
๋ณธ ์ฐ๊ตฌ์์๋ 1๋
๊ฐ์ ์ฅ๊ธฐ ์ค์ธก ๋ฐ์ดํฐ๋ฅผ ํ์ตํ์ฌ, ํฅํ 1์ผ ์ด๋ด์ ๋จ๊ธฐ ์์ธก ์ฑ๋ฅ์ ํ๋ณดํ๋ ๋ฐ ํ์ฉ๋์๋ค. ์์ธก ๋ชจ๋ธ์ PV ๋ฐ ๋ถํ์ ๋ํด
๊ฐ๊ฐ ๋
๋ฆฝ์ ์ผ๋ก ๊ตฌ์ฑ๋๋ฉฐ, ์
๋ ฅ ๋ณ์๋ PV, ๋ถํ, ์จ๋, ์ต๋, ํ์, ์ผ์ฌ๋ ๊ทธ๋ฆฌ๊ณ ๊ตฌ๋ฆ์ ๋ฑ์ผ๋ก ์ด 7๊ฐ ํญ๋ชฉ์ผ๋ก ๊ตฌ์ฑ๋๋ค. ๋ชจ๋ธ์ ํ์ดํผํ๋ผ๋ฏธํฐ๋
Random Search ๊ธฐ๋ฒ์ผ๋ก ์ต์ ํํ์๋ค. ๋ชจ๋ ๋ชจ๋ธ ๊ตฌํ์ Python ๊ธฐ๋ฐ์ผ๋ก ์ํ๋์๋ค[14].
3.3 ์์ธก ์ ํ๋ ๋ฐ ํ๊ฐ ์งํ
์์ธก ์ฑ๋ฅ ํ๊ฐ๋ ์ผ๋ฐ์ ์ผ๋ก ํ๊ท ์ ๋ ์ค์ฐจ(Mean Absolute Error, MAE), ํ๊ท ์ ๊ณฑ๊ทผ ์ค์ฐจ(Root Mean Square Error,
RMSE), ํ๊ท ์ ๋ ๋ฐฑ๋ถ์จ ์ค์ฐจ(Mean Absolute Percentage Error, MAPE), ๊ฒฐ์ ๊ณ์(Rยฒ Score)๋ฑ์ ์งํ๋ฅผ ํ์ฉํ๋ค.
์ ์ํ๋ ํด๋ฆฌ์คํฑ ์์์ด ์ ๋๊ฐ์ ๋ฏผ๊ฐํ๊ฒ ๋ฐ์ํ์ง ์๋๋ก, ๋ฐ์ดํฐ์ ์ค์ผ์ผ์ ๋
๋ฆฝ์ ์ธ ์งํ์ธ MAPE๋ฅผ ์ฑ๋ฅ ํ๊ฐ ๊ธฐ์ค์ผ๋ก ์ฌ์ฉํ์๋ค. ํด๋น ์งํ๋
๋ค์ ์ (6)๊ณผ ๊ฐ์ด ์ ์๋๋ค.
์ฌ๊ธฐ์ $Y$ : ์ค์ ๊ฐ
$\hat{Y}$ : ์์ธก๊ฐ
ฯต : ๋ถ๋ชจ์ 0๊ฐ ๋ฐฉ์ง๋ฅผ ์ํ ์์์ ์์
$N$ : ๋ฐ์ดํฐ์ ์
๊ทธ๋ฆผ 3๋ LSTM์ ํตํด ์ฐ์ถํ PV ๋ฐ์ ๋๊ณผ ๋ถํ์ ์์ธก๊ฐ์ ์ค์ ์ธก์ ๊ฐ๊ณผ ๋น๊ตํ ๊ทธ๋ํ์ด๋ฉฐ, ํ 1์ ์ด๋ฅผ ๋ฐํ์ผ๋ก 10์ผ๊ฐ์ ์์ธก ์ฑ๋ฅ์ ํ๊ฐ ์งํ๋ก ์ ๋ฆฌํ ๊ฒ์ด๋ค. PV ๋ฐ์ ๋ ์์ธก ๊ณก์ ์ ๋ถํ ์์ธก ๊ณก์ ๋ณด๋ค ์ค์ ์ธก์ ๊ฐ์ ์ถ์ธ๋ฅผ ๋ ์ ๋ฐํ๊ฒ
๋ฐ๋ฅด๊ณ ์์ผ๋ฉฐ, ์ด๋ PV์ Rยฒ ๊ฐ์ด 0.9994๋ก ๋ถํ ์์ธก์ 0.8897๋ณด๋ค ๋์ ์์น๋ฅผ ๊ธฐ๋กํ ๊ฒ์์ ํ์ธ๋๋ค. ๊ทธ๋ฌ๋ ์ถ๋ ฅ ๋ณ๋์ฑ์ด ํฐ PV์
ํน์ฑ์ ๋ฐ๋ผ์, ์ผ๋ถ ๊ตฌ๊ฐ์์๋ ์ค์ ๊ฐ๊ณผ ์์ธก๊ฐ ๊ฐ์ ์ฐจ์ด๊ฐ ํฌ๊ฒ ๋ฐ์ํ์๋ค. ํด๋น ์ค์ฐจ๋ MAPE ์งํ๋ฅผ ํตํด์ ํ์ธ๋๋ฉฐ, PV ๋ฐ์ ๋ ์์ธก์ MAPE๋
12.24%๋ก ๋ถํ ์์ธก์ 8.59%์ ๋นํด ์๋์ ์ผ๋ก ๋์ ์์น๋ฅผ ๋ํ๋ธ๋ค.
๊ทธ๋ฆผ 3. LSTM์ ํตํ PV ๋ฐ์ ๋ ๋ฐ ๋ถํ์ ์ค์ ๊ฐ๊ณผ ์์ธก๊ฐ ๋น๊ต
Fig. 3. Comparison of Actual and Predicted PV Generation and Load using LSTM
ํ 1 LSTM ๊ธฐ๋ฐ PV ๋ฐ์ ๋ ๋ฐ ๋ถํ ๋ฐ์ดํฐ์ ์์ธก ์ฑ๋ฅ ์งํ
Table 1 Prediction Performance Metrics of PV Generation and Load Based on LSTM
|
Item
|
RMSE
(kW)
|
MAE
(kW)
|
MAPE
(%)
|
Rยฒ Score
|
|
PV
Predicted
|
1.472
|
0.746
|
12.24
|
0.9994
|
|
Load
Predicted
|
7.441
|
5.832
|
8.59
|
0.8897
|
3.4 ์์ธก ๊ธฐ๋ฐ ํด๋ฆฌ์คํฑ ์ด์ฉ ์ ๋ต ๊ตฌ์ฑ
์ ์ํ๋ ์์ธก ๊ธฐ๋ฐ ํด๋ฆฌ์คํฑ ์ด์ฉ ์ ๋ต์ ์์น ์ต์ ํ ๋ฐฉ์์ด ์๋, ์กฐ๊ฑด ๊ธฐ๋ฐ(rule-based)์ ์ ์ด ๊ท์น์ ๋ฐ๋ผ HUE ์์คํ
์ ์ด์ฉํ๋ ๋ฐฉ์์ด๋ค.
๋ณธ ์ ์์๋ ์์ธก๊ฐ์ ํ์ฉํ์ฌ ์ค์ ํ ๋์ ์ ์ฝ ์กฐ๊ฑด๊ณผ ํด๋น ์กฐ๊ฑด์ ์ด์ฉํ ์ ์ด ๋ก์ง์ ์ ๋ฆฌํ๋ฉฐ, ์ด๋ ๋ค์์ ๋ ๊ฐ์ง ์ ์ฝ ์กฐ๊ฑด์ ์ค์ฌ์ผ๋ก ํ๋ค.
์ฒซ์งธ, ์ ์ ๋ฐ์ ์ UPS๊ฐ ์ฆ์ ๋์ํ ์ ์๋๋ก ์ผ์ ์์ค์ SOC๋ฅผ ํ๋ณดํด์ผ ํ๋ฉฐ, ๋์งธ, ์ ์ ์ด์ ์์๋ PV ๋ฐ์ ๋๊ณผ ๋ถํ์ ์์ธก๊ฐ์
๊ธฐ๋ฐ์ผ๋ก ESS๋ฅผ ์ ์ฐํ๊ฒ ์ด์ฉํด์ผ ํ๋ค. UPS ๋์์ ์ํ ์ต์ ์ ๋ ฅ๋์ผ๋ก $SOC_{HUE-\min}$ ์ ๋์์ผ๋ฉฐ ์ (7)์ผ๋ก ํํํ์๋ค. ์ด๋ HUE ์ ์ฒด SOC ๋ฒ์์์ UPS ๋์์ ํ๊ธฐ ์ํ ์ต์ ์ ๋ ฅ๋์ ํ๋ณดํ๋ ๊ฒ์ผ๋ก ๊ตฌ์ฑํ์๋ค.
๋ถํ์ ๋ํด 30๋ถ๊ฐ ๋์์ด ๊ฐ๋ฅํ UPS ๋์์ ์ํ ์ต์ ์ ๋ ฅ๋์ ๋ถํ ์์ธก๊ฐ์ ๊ธฐ์ค์ผ๋ก ์ฐ์ ํ ์ ์๋ค. ๋ถํ ์์ธก์ ๋ํ ๋ถํ์ค์ฑ์ ๊ณ ๋ คํ๊ธฐ
์ํ์ฌ ํด๋น ์์ธก๊ฐ์ ๋ํ ์ค์ฐจ์จ์ธ $MAPE_{Load}$์ ๋ฐ์ํ๊ณ , ์์์ ์ฌ์ ๋๋ฅผ ๋ํ์ฌ, ์ด 10%๋ฅผ ์ ์ฉํ์๋ค[15]. ์ ์ ์ด ๋ฐ์ํ๋๋ผ๋ PV๊ฐ ๋์ ์ค์ธ ๊ฒฝ์ฐ, ํด๋น ์์ ์ PV ์ถ๋ ฅ์ UPS ๋์์ ์ํ ์ต์ ์ ๋ ฅ๋ ํ๋ณด์ ์ผ๋ถ ๊ธฐ์ฌํ ์ ์๋ค. ์ด์ ๋ฐ๋ผ,
UPS ๋์์ ์ํ ์ต์ SOC๋ PV ๋ฐ์ ๋์ ๋ฐ์ํ์ฌ ๋์ ์ผ๋ก ์กฐ์ ๋๋ฉฐ, ์ด๋ ์ (8)์ ๊ฐ์ด ์ ์๋๋ค. ์ด๋, PV์ ๋ํ ๋ถํ์ค์ฑ์ ๊ณ ๋ คํ๊ธฐ ์ํ์ฌ PV ์์ธก ์ค์ฐจ์จ์ LSTM ๊ธฐ๋ฐ์ ์ฑ๋ฅ์ธ $MAPE_{PV}$๋ฅผ ๋ฐ์ํ๊ณ , ์์์
์ฌ์ ๋๋ฅผ ์ถ๊ฐํ์ฌ, ์ด 13%๋ฅผ ๋ณด์์ ์ผ๋ก ์ ์ฉํ์๋ค. ์ด๋ฅผ ํตํด ์ค์ ์ด์ ์ํฉ์์์ ์์ ์ฌ์ ๋ฅผ ํ๋ณดํ๋๋ก ์ค๊ณํ์๋ค.
PV ๋ฐ ๋ถํ์ MAPE ์์น๋ ์ต์ SOC ์ฐ์ ์ ์ํฅ์ ๋ฏธ์น๋ค. ์์ธก ์ค์ฐจ๊ฐ ์ปค์ง์๋ก SOC ํํ ์ค์ ์ด ์ปค์ง๊ฒ ๋๋ค. ์ด๋ PV ๋ฐ์ ์ ์ถฉ์
์ฌ์ ๋ฅผ ๊ฐ์์์ผ ํผํฌ ์ ๋ ฅ์ ๋ํ ๋์ ์ ๋ ฅ๋์ ์ ํํ๊ณ , ๊ฒฐ๊ณผ์ ์ผ๋ก ๊ณํต ์ ๋ ฅ๋ง์ ์ ๋ ฅ ์ฌ์ฉ๋์ด ์ฆ๊ฐํ๊ฒ ๋๋ค.
์ฌ๊ธฐ์ $t$ : ํน์ ์์
$\triangle t$ : ์๊ฐ ๊ฐ๊ฒฉ (์ํ๋ง ์ฃผ๊ธฐ)
$\hat{P}_{PV}(t)$ : ์์ธก๋ PV ์ ๋ ฅ
$\hat{P}_{Load}(t)$ : ์์ธก๋ ๋ถํ ์ ๋ ฅ
์ด๋, ์ถฉยท๋ฐฉ์ ์ด์ฉ ๊ธฐ์ค์ ์ค์ ํจ๊ณผ ๋์์, ์ ๋ ฅ๋ง์ผ๋ก๋ถํฐ ์ฌ์ฉํ๋ ์ ๋ ฅ์ด ์ผ์ ํ๋๋ฅผ ์ด๊ณผํ์ง ์๋๋ก ์ ํํ๋ ์ ์ฝ ์กฐ๊ฑด์ ์ถ๊ฐํ์๋ค. ์ด๋ ์ค๊ฐ
๋ถํ ์๊ฐ๋ถํฐ ์ต๋ ๋ถํ ์๊ฐ๋๊น์ง์ ๋ถํ ์ ๋ ฅ ์ฌ์ฉ๋์ ์ค์ด๊ณ , ๋ถํ ๊ณก์ ์ ํ์คํ(load leveling)ํ์ฌ ์ฒจ๋ ๋ถํ ์ ๋ ฅ ์๋น๋ฅผ ์ํํ๊ธฐ
์ํ ์ด์ฉ ์ ๋ต์ ์ผํ์ผ๋ก ์ ์ฉ๋์๋ค. ํนํ, ์ ์ ์ํฉ์ด ์๋ ์ ์ ์ด์ ์กฐ๊ฑด์์๋ HUE ์์คํ
์ ํ์ฉํ์ฌ ์ ๋ ฅ๋ง ์์กด๋๋ฅผ ์ผ์ ์์ค ์ดํ๋ก ์ ์ดํจ์ผ๋ก์จ,
์ ๋ ฅ๋ง ์ด์ฉ์ ๋ฐ๋ฅธ ๋น์ฉ์ ์ ๊ฐํ ์ ์๋๋ก ์ค๊ณ๋์๋ค. Grid์ ์ฌ์ฉ ํ๊ณ($P_{Grid Peak L im}$)๋ฅผ ์กฐ์ ํ๊ธฐ ์ํด์ ์ (9) ๊ฐ์ด ์ ์ํ์๋ค.
๊ทธ๋ฆผ 4์ ์ ์๋ ์์ธก ๊ธฐ๋ฐ ํด๋ฆฌ์คํฑ ์ด์ฉ ์ ๋ต์ ์ ์ฒด ํ๋ฆ์ ๋ํ๋ธ๋ค. ์์คํ
์ ๋จ์ ์๊ฐ๋ง๋ค ์ค์ธก๋ SOC, ๋ถํ, PV ๋ฐ์ ๋๊ณผ ํจ๊ป LSTM ๊ธฐ๋ฐ
์์ธก ๋ชจ๋ธ๋ก๋ถํฐ ๋ค์ ์์ ์ ๋ถํ์ PV ์์ธก๊ฐ์ ์
๋ ฅ์ผ๋ก ๋ฐ์๋ค์ธ๋ค. ์ด ์ ๋ณด๋ฅผ ๋ฐํ์ผ๋ก, ์ ์ ๋์์ ์ํ ์ต์ SOC๋ฅผ ๊ณ์ฐํ๊ณ , ํ์ฌ ์์ ์
์๋์ง ํ๋ฆ์ ๊ณ ๋ คํ์ฌ ์ธ๋ถ ์ ๋ ฅ ์์๋ฅผ ๊ณ์ฐํ๋ค.
์ดํ ์ ์ด๊ธฐ๋ PV ๋ฐ์ ์ด ์กด์ฌํ๋์ง, ์ฌ๋ถ์ ํ์ฌ SOC๊ฐ ํ์ฉ ๋ฒ์ ๋ด์ ์๋์ง๋ฅผ ํ๋จํ์ฌ ์ถฉ์ ์ด ๊ฐ๋ฅํ ๊ฒฝ์ฐ, ์ ๋ ฅ๋ง ํ๊ณ๋ฅผ ์ด๊ณผํ์ง ์๋ ๋ฒ์
๋ด์์ ์ถฉ์ ๊ฐ๋ฅ๋์ ์ฐ์ ํ๋ค. ๋ฐ๋๋ก, ๋ฐฉ์ ์ด ํ์ํ ๊ฒฝ์ฐ์๋ ์ ๋ ฅ๋ง ์ด๊ณผ ์ฌ๋ถ๋ฅผ ํ์ธํ๊ณ , ๋์์ ์ ์ ์ ๋๋นํ UPS ๋์์ ์ํ ์ต์ ์ ๋ ฅ๋์
๋ง์กฑํ๋ ์กฐ๊ฑด์์ ๋ฐฉ์ ๋ช
๋ น์ ์ํํ๋ค. ์ ๋ ฅ๋ง์ ํ๊ณ๋ ๋ถํ ์ ๋ ฅ์ด ์ค๊ฐ ๋ถํ์์ ์ต๊ณ ๋ถํ ์๊ฐ๋๊น์ง์ ํ๊ท ๊ฐ์ ๊ธฐ์ค์ผ๋ก ํ์๋ค. ์ด๋ฌํ ํ๊ณ
์ค์ ์ ์ ์ฒด ๋ถํ๋ฅผ ์ ๋ ฅ๋ง์๋ง ์์กดํ์ง ์๊ณ , ๊ฐ๋ฅํ ๊ฒฝ์ฐ PV ๋๋ HUE ์์คํ
์ ์ถฉ์ ๋ ์ ๋ ฅ์ ํ์ฉํจ์ผ๋ก์จ ๊ณํต ์ ๋ ฅ ์ฌ์ฉ์ ์ต์ํํ๊ธฐ ์ํ
๋ชฉ์ ์ ๊ฐ์ง๋ค. PV ์ถ๋ ฅ๊ณผ ์ถฉ์ ๋ ์ ๋ ฅ์ด ๋ชจ๋ ๋ถ์กฑํ ๊ฒฝ์ฐ์๋ ๋ถํ์ ๋ฐ๋ฅธ ์ ๋ ฅ๋ง์ผ๋ก ์ ๋ ฅ์ ๋ง์ถฐ์ผ ํ๋ค. ์ต์ข
์ ์ผ๋ก ํด๋น ์์ ์ SOC์ ์ ๋ ฅ๋ง
์ฌ์ฉ๋์ ์
๋ฐ์ดํธํ ํ, ๋ค์ ์์ ์ ์ ์ด ๋จ๊ณ๋ก ์งํํ๋ค.
๊ทธ๋ฆผ 4. HUE ์์คํ
์ ์ํ ์์ธก ๊ธฐ๋ฐ ํด๋ฆฌ์คํฑ ์ด์ฉ ์์๋
Fig. 4. Flowchart of the Prediction-Based Heuristic Operation for the HUE System
๊ฒฐ๊ณผ์ ์ผ๋ก, ์ ์๋ ์ด์ฉ ์ ๋ต์ ๋ณต์กํ ์์น ์ต์ ํ ์์ด ์์ธก๊ฐ ๊ธฐ๋ฐ์ ๋์ ์กฐ๊ฑด์์ ํ์ฉํ์ฌ ์์ ๋ณ ์ ์ด ๊ฒฐ์ ์ ์ํํ ์ ์๋๋ก ๊ตฌ์ฑ๋์๋ค. ๋ณธ
์ฐ๊ตฌ์ ์์ธก ๊ธฐ๋ฐ ํด๋ฆฌ์คํฑ ์ด์ฉ ์ ๋ต์ LSTM ์์ธก๊ฐ๊ณผ ์ค์ฐจ ๋ณด์ ๊ณ์๋ฅผ ๊ธฐ๋ฐ์ผ๋ก, UPS ๋์ ์กฐ๊ฑด, ESS ์ถฉยท๋ฐฉ์ ์กฐ๊ฑด, ์ ๋ ฅ๋ง ์ฌ์ฉ ํ๊ณ
๋ฑ์ ๋ช
์์ ์ผ๋ก ์์นํํ ์ ์ฝ ์กฐ๊ฑด์ ์ค์ฌ์ผ๋ก ๊ตฌ์ฑ๋๋ฉฐ, ์กฐ๊ฑด ๊ธฐ๋ฐ(rule-based) ๊ตฌ์กฐ๋ฅผ ๊ฐ๋ ์ ์ด ๋ฐฉ์์ด๋ค.
4. ์๋ฎฌ๋ ์ด์
์ค์ ๋ฐ ๊ฒฐ๊ณผ ๋ถ์
4.1 ์๋ฎฌ๋ ์ด์
์ค์
LSTM์ ํตํด PV ๋ฐ ๋ถํ ์์ธก Data๋ฅผ ํ๋ณดํ์์ผ๋ฉฐ, ์ด๋ฅผ ํ์ฉํ์ฌ HUE ์์คํ
๋ด์์ UPS ๋์์ ์ํ ์ต์ ์ ๋ ฅ๋์ ํ์ธํ์๋ค.
๊ทธ๋ฆผ 5๋ ํด๋น ์์ ์์ ์ (8)์ ๊ธฐ๋ฐํ ์ด์ฉ ์ ๋ต ์ค ์ผ๋ถ ํญ๋ชฉ์ ๋์ ์์๋ฅผ ์๊ฐ์ ์ผ๋ก ๋ํ๋ธ ๊ฒ์ผ๋ก, ํ์ฌ๊ฐ๊ณผ ๋ฏธ๋ ์์ธก๊ฐ์ ๋ํ์ฌ ์ ์ ๋ฐ์ ์์ ์์ 30๋ถ๊ฐ ๋์์ด ๊ฐ๋ฅํ
PV ๋ฐ์ ๋๊ณผ ๋ถํ๋ฅผ ํ์ํ์๋ค. ์ด๋, ํ๊ฐ ์ค์ฐจ์จ์ธ $MAPE_{Load}$, $MAPE_{PV}$๋ฅผ ํ์ฉํ์ฌ ๋ถํ๋ ์ํฅ ๋ณด์ ํ๊ณ PV๋ ํํฅ
๋ณด์ ํจ์ผ๋ก์จ, ์ค์ ์ํฉ์์ ์๋์ง ๋ถ์กฑ์ ์ํ์ ๋ฐฉ์งํ๋๋ก ์ค๊ณํ์๋ค.
๊ทธ๋ฆผ 5. ๋ฐฑ์
์กฐ๊ฑด์ ๊ณ ๋ คํ PV ๋ฐ ๋ถํ ์์ธก ์ฉ๋
Fig. 5. Forecasted PV Generation and Load Capacity Considering Backup Requirements
์ด๋ฅผ ๋ฐํ์ผ๋ก ์ (8)์ ๋ฐ๋ผ UPS ๋์์ ์ํ ์ต์ SOC๋ฅผ ๊ณ์ฐํ๋ฉด ๊ทธ๋ฆผ 6๊ณผ ๊ฐ์ด ์ ์ ์ธ UPS ๋์ ๋ฒ์์ธ 400kWh๋ณด๋ค ๋ฎ์ ์์ค์์ ๋์ ์ผ๋ก ์กฐ์ ๋ UPS ๋์์ฉ SOC ๋ฒ์๋ฅผ ํ์ธํ๊ฒ ๋๋ค. ์ฌ๊ธฐ์ 400kWh๋
์๋ฎฌ๋ ์ด์
ํ๊ฐ๋ฅผ ์ํ ์ค์ ๋ถํ ์ค ์ฐ๊ฐ ์ต๋ ๋ถํ๋ฅผ ๊ธฐ์ค์ผ๋ก 30๋ถ ์ด์ ๋์์ด ๊ฐ๋ฅํ ์๋์ง ์ฉ๋๊ณผ ๋ฐฐํฐ๋ฆฌ์ ์์ ์ ์ธ ๋์์ ์ํ ์ต์($SOC_{\min}$)
์ฉ๋์ ๋ํ์ฌ ์ฐ์ถ๋ ๊ฐ์ด๋ค. ์ด๋ ์ ์ํ๋ ํด๋ฆฌ์คํฑ ์ด์ฉ ์ ๋ต์์ ๋น๊ต ๋ฐ ํ๊ฐ๋ฅผ ์ํ ๊ธฐ์ค๊ฐ์ผ๋ก ํ์ฉ๋๋ค.
๊ทธ๋ฆผ 6. ์์ธก ๊ธฐ๋ฐ์ UPS ๋์ ์ต์ SOC
Fig. 6. Minimum SOC for UPS Support Based on Forecasting
4.2 ์๋ฎฌ๋ ์ด์
๋ฐ ๊ฒฐ๊ณผ
์๋ฎฌ๋ ์ด์
์ 3๊ฐ์ง ๋ฐฉ์์ผ๋ก ํ๊ฐ ๋ฐ ๋ถ์ ๋น๊ตํ์๋ค. Case 1์ ์ ์ ์ธ UPS ์ฉ๋์ ์ค์ ํ๊ณ , PV ๋ฐ์ ๋์ ๋ฐ๋ผ ์ถฉยท๋ฐฉ์ ์ ์ํํ๋ ๊ธฐ๋ณธ(Basic)
์ ์ด ๋ฐฉ์์ด๋ค. Case 2๋ UPS ๋์์ ์ํ ์ต์ SOC ์ ์ฝ ์กฐ๊ฑด์ ๋ฐ์ํ ํด๋ฆฌ์คํฑ ์ ์ด ๋ฐฉ์์ด๋ฉฐ, Case 3์ Case 2์ ์ ๋ ฅ๋ง ์ฌ์ฉ๋์
๋ํ์ฌ ์ํ ์ ํ์ ์ถ๊ฐํ ํด๋ฆฌ์คํฑ+ํผํฌ ์ ์ด ๋ฐฉ์์ด๋ค.
๊ฐ Case๋ณ SOC ๊ฒฐ๊ณผ๋ ๊ทธ๋ฆผ 7์ ํตํด ํ์ธ์ด ๊ฐ๋ฅํ๋ค. ๊ธฐ๋ณธ ์ ์ด ๋ฐฉ์(Case 1)์์๋ ์ ์ ์ธ UPS ์ฉ๋ ๊ธฐ์ค์ ๋ฐ๋ผ ๋ฐฉ์ ํ๊ณ๊ฐ 400kWh๋ก ๊ณ ์ ๋์ด, ํด๋น ์ฉ๋ ์ดํ๋ก
๋ฐฉ์ ๋์ง ์์์ ํ์ธํ์๋ค. ๋ฐ๋ฉด์ ํด๋ฆฌ์คํฑ ๊ธฐ๋ฐ ์ ์ด ๋ฐฉ์(Case 2 ๋ฐ Case 3)์์๋ UPS ๋์์ ์ํ ์ต์ SOC ๊ธฐ์ค์ธ UPS Threshold์
๋ฐ๋ผ ๋ณด๋ค ์ ์ฐํ๊ฒ ์ฉ๋ ํ์ฉ์ด ๊ฐ๋ฅํ์๋ค. ์ด๋ฌํ ์ ์ด ๋ฐฉ์์ UPS ๋์์ ์ํ ์ฉ๋์ ์ถ์ํ๊ณ , ์ด๋ฅผ ESS ์ถฉยท๋ฐฉ์ ์ ํ์ฉ์ด ๊ฐ๋ฅํ ์ฉ๋์ผ๋ก
์ ํํ์ฌ PV ๋ฐ์ ์ ๋ ฅ์ ์ถฉ์ ๊ฐ๋ฅ ์ฉ๋์ ์ฆ๊ฐ์ํค๋ ํจ๊ณผ๋ฅผ ๋ํ๋๋ค.
๊ทธ๋ฆผ 7. ์ ์ด ๋ฐฉ์์ ๋ฐ๋ฅธ SOC ๋ณํ ๋น๊ต
Fig. 7. Comparison of SOC Variation Under Different Control Strategies
์ ๋ ฅ๋ง ์ฌ์ฉ์ ํผํฌ ์ ํ์ ๋์ง ์์ ๊ฒฝ์ฐ, HUE์ ์ ์ฒด ์ฉ๋ ๋๋น PV ๋ฐ์ ๋์ด ๋ง์ ์์ ์๋ ์์ฐ๋ ์ ๋ ฅ์ ๋ชจ๋ ์ถฉ์ ํ์ง ๋ชปํ๊ณ $SOC_{\max}$์์ค์
์ ์ฒด๋๋ ๊ฒ์ ํ์ธํ์๋ค.
๊ทธ๋ฌ๋ ์ค๊ฐ ๋ถํ์ ์ต๋ ๋ถํ ์๊ฐ๋์ธ 08:00 โผ 22:00์์ ์ ๋ ฅ๋ง์ ํ๊ท ์ฌ์ฉ๋์ ๊ธฐ์ค์ผ๋ก 80kWh์ ํผํฌ ์ ๋ ฅ ํ๊ณ๋ฅผ ์ค์ ํ์์ ๋,
PV ์ ๋ ฅ์ HUE ์ถฉ์ ํ๋ ๊ฒ์ ์ง์ค๋์ง ์๊ณ , ์ ๋ ฅ๋ง ์ ๋ ฅ์ ๋ถ์กฑํ ๋ถ๋ถ์ HUE๊ฐ ๋ณด์กฐํ๋ ๋ฐฉ์์ผ๋ก ๋์ํ๋ ๊ฒ์ ํ์ธํ์๋ค.
๊ทธ๋ฆผ 8์์๋ PV ๋ฐ์ ๋์ด ๋ถ์กฑํ๊ณ HUE ๋ด ์ ์ฅ ์๋์ง๊ฐ ์ถฉ๋ถํ์ง ์์ ์ด๊ธฐ ๊ตฌ๊ฐ์์ ์ ๋ ฅ๋ง์ ์๊ตฌ๋์ด ์ผ์์ ์ผ๋ก ์ฆ๊ฐํ๋ ์์์ ํ์ธํ ์ ์๋ค.
๊ทธ๋ฌ๋ ์ดํ ์๊ฐ๋์๋ PV ๋ฐ์ ์ฆ๊ฐ์ HUE์ ์ถฉ์ ์ด ์ด๋ฃจ์ด์ง๋ฉด์ Grid peak limit์ ๋๋ฌํ ์ํ์์ ์ถ๊ฐ์ ์ธ ์ ๋ ฅ๋ง ์ฌ์ฉ ์์ด HUE์
SOC๊ฐ ์์ ์ ์ผ๋ก ์ ์ด๋จ์ ํ์ธํ ์ ์๋ค. ํนํ, ๋์ผ ์กฐ๊ฑด์์ ๋น๊ตํ ๋ค๋ฅธ ์๋๋ฆฌ์ค์ ๋นํด ์ฒจ๋ ๋ถํ๊ฐ ๋ฎ๊ฒ ์ ์ง๋์์ผ๋ฉฐ, ์ ์ฒด ๋ถํ ๊ณก์ ์
๋ถ์ฐ๋ ๋ํ ๊ฐ์ํ์ฌ ํจ๊ณผ์ ์ธ ๋ถํ ํ์คํ ์ฑ๋ฅ์ ํฅ์์ ํ์ธํ์๋ค.
๊ทธ๋ฆผ 8. ์ ์ด ๋ฐฉ์์ ๋ฐ๋ฅธ ์ ๋ ฅ๋ง ์ฌ์ฉ๋ ๋ณํ
Fig. 8. Variation in Grid Power Usage According to Control Strategies
4.3 ์ฑ๋ฅ ๋ถ์
์๋ฎฌ๋ ์ด์
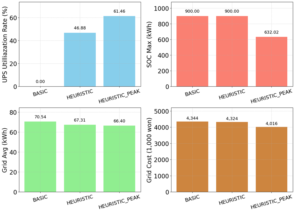
๊ฒฐ๊ณผ๋ฅผ ๋ฐํ์ผ๋ก 3๊ฐ์ง Case์ ์ฑ๋ฅ์ ๋น๊ตํ์๋ค. ๊ทธ๋ฆผ 9์์ UPS ์ฌ์ฉ๋ฅ ์ ๋ํ๋ด๋ฉฐ, ์ด๋ ์ ์ฒด ์ด์ ์๊ฐ ๋์ UPS๊ฐ ์ค์ ๋ก ์๋์ง๋ฅผ ๊ณต๊ธํ ์๊ฐ์ ๋น์จ์ ๊ธฐ์ค์ผ๋ก ์ฐ์ถํ์๋ค. ๋ถ์ ๊ฒฐ๊ณผ, ํด๋ฆฌ์คํฑ+ํผํฌ
์กฐ๊ฑด์์๋ ๊ธฐ๋ณธ ์ ์ด ์กฐ๊ฑด ๋๋น ์ฝ 61% ํฅ์๋ UPS ์ฌ์ฉ๋ฅ ์ ๋ณด์๋ค. ๋ํ, SOC์ ์์ ์ฑ ์ธก๋ฉด์์๋ ์ต๋ ๋ถํ ์์ ๊ธฐ์ค์ผ๋ก SOC ์ ์ฒด
๊ฐ์ฉ ์ฉ๋์ ์ฝ 70% ์์ค๊น์ง๋ง ์ฌ์ฉ๋์ด ๊ณผ๋ํ ์ฉ๋ ํ๋ณด ์์ด๋ ์์ ์ ์ธ ์ด์ฉ์ด ๊ฐ๋ฅํจ์ ํ์ธํ์๋ค. ์ด ๋ ํญ๋ชฉ์ ๊ฒฐ๊ณผ๋ HUE ์์คํ
์ ์ฐ์
ํ์ฅ์ ์ ์ฉํ ๊ฒฝ์ฐ, ์ค์ ํ์ ์ฉ๋์ ๋ฐ๋ผ ๋ฐฐํฐ๋ฆฌ ์ฉ๋์ ์ต์ ํํจ์ผ๋ก์จ ์ค์น ๋น์ฉ์ ์ ๊ฐํ ์ ์์์ ์์ฌํ๋ค.
๊ทธ๋ฆผ 9. HUE ์ด์ฉ ์ ๋ต์ ์ฃผ์ ์ฑ๋ฅ ์งํ ๋น๊ต
Fig. 9. Comparison of Key Performance Indicators for HUE Operation Strategies
์ ๋ ฅ ์ฌ์ฉ ๋ฐ ๊ฒฝ์ ์ฑ ์ธก๋ฉด์์๋ ์ ์๋ฏธํ ์ฐจ์ด๊ฐ ํ์ธ๋์๋ค. ํด๋ฆฌ์คํฑ ์กฐ๊ฑด์ ์ ์ฉํ Case์์๋ ๋ถํ ์์ธก ์ ๋ณด๋ฅผ ๊ธฐ๋ฐ์ผ๋ก ํ ์ ์ด ์ ๋ต์ ํตํด
์ ๋ ฅ๋ง ์ฌ์ฉ๋์ด ๊ฐ์ํ๋ ํจ๊ณผ๊ฐ ๋ํ๋ฌ๋ค. ํนํ ํด๋ฆฌ์คํฑ+ํผํฌ ์ ์ด ์กฐ๊ฑด์์๋ ๊ธฐ๋ณธ ์ ์ด ์กฐ๊ฑด ๋๋น ์ฝ 6%์ ์ ๋ ฅ ์ฌ์ฉ๋์ด ๊ฐ์ํ์๋ค. ์ ๊ธฐ์๊ธ
์ญ์ ํ์ ์ ์ฐ์
์ฉ(๊ฐ) ๊ณ ์B ์ ํโ
ก ์๊ธํ ์ค ์ฌ๋ฆ์ฒ ๋จ๊ฐ๋ฅผ ์ ์ฉํ์ฌ ์ฐ์ ํ ๊ฒฐ๊ณผ, ์ฝ 8%์ ๋น์ฉ ์ ๊ฐ ํจ๊ณผ๊ฐ ํ์ธ๋์๋ค. ์ด๋ฌํ ๊ฒฐ๊ณผ๋ ๋จ์ํ
๋ถํ ์์ธก ๊ธฐ๋ฐ ์ด์ฉ๋ฟ ์๋๋ผ, Peak Limit ์กฐ๊ฑด์ ๋ณํ ์ ์ฉํจ์ผ๋ก์จ, ์ฒจ๋ ๋ถํ ์๊ฐ๋์ ์ ๋ ฅ๋ง ์์กด๋๋ฅผ ํจ๊ณผ์ ์ผ๋ก ์ต์ ํ ๋ฐ ๊ธฐ์ธํ๋ค.
์ฆ, ํด๋ฆฌ์คํฑ ์ ์ด๋ ๋ถํ ์์ธก ์ ๋ณด๋ฅผ ๊ธฐ๋ฐ์ผ๋ก ์กฐ๊ฑด ๋์์ ์ค์ ์ ๋๋ ๋ฐ๋ฉด, ํด๋ฆฌ์คํฑ+ํผํฌ ์ ์ด๋ ์ผ์ ์๊ฐ ๊ตฌ๊ฐ์ ์ฒจ๋ ์ ๋ ฅ ์ต์ ๋ฅผ ๊ณ ๋ คํ์ฌ
์ ๋ ฅ ๋น์ฉ ์ ๊ฐ ํจ๊ณผ๋ฅผ ๋์ฑ ๊ทน๋ํํ ์ ์๋ค๋ ์ ์์ ์ฐจ๋ณ์ฑ์ ๊ฐ๋๋ค.
ํ์คํธ์ฐจ(Standard Deviation, STD)๋ฅผ ์งํ๋ก ํ์ฉํ์ฌ SOC ์์ ์ฑ๊ณผ ๊ณํต ์ ๋ ฅ ์ฌ์ฉ๋์ ๋ณ๋์ฑ์ ์ ๋์ ์ผ๋ก ํ๊ฐํ์๋ค. ๊ทธ๋ฆผ 10๋ ํ์คํธ์ฐจ์ ํ๊ฐ์ ๋ํ ๋น๊ต์ด๋ค. SOC์ ํ์คํธ์ฐจ(SOC STD)๋ HUE ์์คํ
์ ์ถฉยท๋ฐฉ์ ๊ณผ์ ์์์ ์ํ ๋ณํ์ ์์ ์ฑ์ ๋ํ๋ด๋ฉฐ, ์ ๋ ฅ๋ง
์ฌ์ฉ๋์ ํ์คํธ์ฐจ(Grid STD)๋ ์๊ฐ์ ๋ฐ๋ฅธ ๊ณํต ์ ๋ ฅ ์ฌ์ฉ์ ๋ณ๋์ฑ์ ์๋ฏธํ๋ค. ๋ ์งํ ๋ชจ๋ STD ๊ฐ์ด ์์์๋ก ์์คํ
์ด ์ผ์ ํ๊ณ ์์ ์ ์ผ๋ก
์ด์ฉ๋์์์ ๋ํ๋ด๋ฉฐ, ์ด๋ ์ ์ด ์ ๋ต ๊ฐ ์ด์ฉ ์์ ์ฑ์ ์๋์ ์ฐ์์ฑ์ ํ๋จํ๋ ๊ธฐ์ค์ผ๋ก ํ์ฉ๋์๋ค. ํ๊ฐ ๊ฒฐ๊ณผ๋ ํด๋ฆฌ์คํฑ+ํผํฌ ์ ์ด ์กฐ๊ฑด์์ ๊ฐ์ฅ
๋ฎ์ ๋ณ๋์ฑ์ ๋ณด์ฌ ์์ ์ฑ์ด ๊ฐ์ฅ ์ฐ์ํ ๊ฒ์ผ๋ก ๋ํ๋ฌ๋ค. ๊ธฐ๋ณธ ์ ์ด ์กฐ๊ฑด ๋๋นํ์ฌ SOC STD๋ 48%, Grid STD๋ 15% ๊ฐ์ํ์๋ค.
๊ทธ๋ฆผ 10. SOC์ ์ ๋ ฅ๋ง ํ์คํธ์ฐจ ๋น๊ต
Fig. 10. SOC and Grid Power Standard Deviation Comparison
ํด๋ฆฌ์คํฑ ์กฐ๊ฑด์์ SOC STD๊ฐ ๊ฐ์ฅ ๋๊ฒ ๋ํ๋ ์ด์ ๋, ํด๋น ์ ์ด ์ ๋ต์์ ์ ์ฉ๋ ์ต์ SOC ๊ธฐ์ค์ด ๊ธฐ๋ณธ ์ ์ด ๋ฐฉ์๋ณด๋ค ๋ฎ๊ฒ ์ค์ ๋์ด ์์ด,
PV ๋ฐ์ ์ ๋ ฅ์ ์ถฉ์ ํ ์ ์๋ ์ด์ฉ ๋ฒ์๊ฐ ๋ ๋์ด์ก๊ธฐ ๋๋ฌธ์ด๋ค. ์ด๋ก ์ธํด ์ถฉยท๋ฐฉ์ ๋ฒ์๊ฐ ํ๋๋๋ฉด์ SOC ๊ฐ์ ์๊ฐ์ ๋ณ๋์ฑ์ด ์ฆ๊ฐํ์์ผ๋ฉฐ,
๊ฒฐ๊ณผ์ ์ผ๋ก SOC ํ์คํธ์ฐจ๊ฐ ์์นํ๊ฒ ๋์๋ค.
4.4 ์ฅ๊ธฐ ์ด์ฉ์ ์ํ ๋ฐฐํฐ๋ฆฌ ์ดํ ๋ถ์
์ ์ ์ ๋ต์ด ์ค์ ์ด์ฉ์ ์ ์ฉํ๊ธฐ ์ํด์๋ ๋ฐฐํฐ๋ฆฌ์ ์ฅ๊ธฐ์ ์ธ ์ดํ ํน์ฑ๊น์ง ๋ฐ์ํ ์ฉ๋ ์ค๊ณ ๊ฒํ ๊ฐ ํ์ํ๋ค. ์ผ๋ฐ์ ์ผ๋ก ๋ฆฌํฌ์ด์จ ESS๋ ์ถฉยท๋ฐฉ์
์ฌ์ดํด์ ๋ฐ๋ฅธ ์ฌ์ดํด ์ดํ์ ์ ์ฅ ์ํ์์์ SOC ๋ฐ ์จ๋ ๋ฑ์ ๋ฐ๋ฅธ ๊ฐค๋ฆฐ๋ ์ดํ๋ฅผ ํจ๊ป ๊ณ ๋ คํด์ผ ํ๋ค.
[16]์์ ์ ์ํ ์ดํ์ ์ดํ ๋ชจ๋ธ์ ๊ธฐ๋ฐ์ผ๋ก, ๋ณธ ์ฐ๊ตฌ์์ ์ ์ ๋ฐ ํ๊ฐ ์งํํ ํด๋ฆฌ์คํฑ+ํผํฌ ์ ์ด์ ๊ฒฐ๊ณผ๋ก ์ (10)์ ๋์
ํ์ฌ SOH(State of health)๋ฅผ ๊ณ์ฐํ์๋ค. ํด๋น ๋ชจ๋ธ์ ์ฌ์ดํด ์ดํ์ธ $A\ge_{cyc}(t)$์ ์บ๋ฆฐ๋ ์ดํ์ธ $A\ge_{cal}(t)$๋ฅผ
๊ฐ๊ฐ ๊ณ์ฐํ ํ, ๋์ ์ดํ๋ฅผ ๋ค์๊ณผ ๊ฐ์ด ํ์ธํ์๋ค. ์ฌ์ดํด ์ดํ๋ EFC(Equivalent Full Cycle) ๊ธฐ์ค์ผ๋ก ์ถฉยท๋ฐฉ์ ํ์์ ๊ดํ
๊ฒ์ด๋ฉฐ, ์บ๋ฆฐ๋ ์ดํ์ ๊ฒฝ์ฐ ํ๊ท SOC ์กฐ๊ฑด์ ๋ฐ๋ผ ์๊ฐ์ด ์ง๋๋ฉด์ ์์ฐ์ ์ผ๋ก ์ดํ๋๋ ๊ฒ์ ๋ฐ์ํ ๊ฒ์ด๋ค.
์ด๊ธฐ SOH 100%์์ ์ถ๋ฐํ ๋ฐฐํฐ๋ฆฌ๊ฐ SOH 80% ์์ค์ผ๋ก ๊ฐ์ ํ๊ธฐ๊น์ง DOD(Depth of Discharge) 45%, ๋ฐฐํฐ๋ฆฌ ์๋ช
๊ธฐ์ค
์ฌ์ดํด 8000ํ, ํ๊ท SOC 37.5% ๋ฑ์ ์ (10)์ ์ ์ฉํ์์ ๋, ์ฝ 10๋
์ด ์์๋๋ ๊ฒ์ ํ์ธํ์๋ค. ๋ํ, SOH๊ฐ 80% ๋์์ ๋ UPS Threshold๋ ๋ฎ์์ง๊ณ ๊ทธ์ ๋ฐ๋ผ SOC
๋ ๋ฒจ๋ ๋ฎ์์ง๋ ๊ฒ์ ํ์ธํ์๋ค. ๊ทธ๋ฌ๋ ์ ์ฒด ์ ์ด ๊ตฌ์กฐ๋ ๊ทธ๋๋ก ์ ์ง ๋์๊ณ , ์์คํ
์ด์ ๊ฒฐ๊ณผ๋ ๋ณํจ์์ด ์์ ํจ์ ํ์ธํ์๋ค.
๊ทธ๋ฆผ 11. 10๋
ํ ์ดํ๋ฅผ ๋ฐ์ํ SOC ๋ณํ
Fig. 11. SOC reflecting degradation after 10 years
์ด๋ฌํ ๊ฒฐ๊ณผ๋ ์ ์๋ ํด๋ฆฌ์คํฑ+ํผํฌ ์ ์ด ์ ๋ต์ด ์ด๊ธฐ ์ค๊ณ ๋จ๊ณ์์ ์ผ์ ๋ถ๋ถ ์ฉ๋ ํ๋ณด๊ฐ ๋์ด ์๋ค๋ฉด, ๋ฐฐํฐ๋ฆฌ ์ดํ์ ๋ฐ๋ฅธ ์ฑ๋ฅ ์ ํ๋ฅผ ๊ตฌ์กฐ์ ์ผ๋ก
์ผ๋ถ ์ํํ ์ ์์์ ๋ณด์ฌ์ฃผ์๋ค.
5. ๊ฒฐ ๋ก
PV, UPS, ESS๊ฐ ํตํฉ๋ HUE ์์คํ
์ ๋์์ผ๋ก, ์์ธก ๊ธฐ๋ฐ์ ํด๋ฆฌ์คํฑ ์ด์ฉ ์ ๋ต์ ์ ์ํ๊ณ , ์๋ฎฌ๋ ์ด์
์ ํตํด ๊ทธ ์ฑ๋ฅ์ ์ ๋์ ์ผ๋ก ํ๊ฐํ์๋ค.
์ด์ LSTM ๊ธฐ๋ฐ์ PV ๋ฐ ๋ถํ ์์ธก ๊ฒฐ๊ณผ๋ฅผ ํ์ฉํ์ฌ ์์ ๋ณ UPS ๋์์ ์ํ ์ต์ SOC๋ฅผ ๋์ ์ผ๋ก ์ฐ์ ํ๊ณ , ์ด์ ๊ธฐ๋ฐํ HUE์ ์ถฉยท๋ฐฉ์
์ ๋ต์ ์ ์ํ์๋ค.
์๋ฎฌ๋ ์ด์
๊ฒฐ๊ณผ๋ ์ ์ํ ํด๋ฆฌ์คํฑ+ํผํฌ ์ด์ฉ ์ ๋ต์ด UPS ์ฌ์ฉ๋ฅ , SOC ์์ ์ฑ, ์ ๋ ฅ ๋น์ฉ, ๊ณํต ์ ๋ ฅ ์ฌ์ฉ๋์ ๋ณ๋์ฑ ํญ๋ชฉ์์ ๊ฐ์ฅ ์ฐ์ํ ์๋๋ฆฌ์ค๋ก
ํ๊ฐ๋์๋ค. ์ด๋ ์์ธก ๊ธฐ๋ฐ ์ ์ด ๋ฐฉ์์ด HUE ์์คํ
์ ๊ฒฝ์ ์ฑ๊ณผ ์์ ์ฑ์ ๋์์ ํ๋ณดํ ์ ์๋ ํจ๊ณผ์ ์ธ ๋ฐฉ๋ฒ์ด๋ฉฐ, ์ค์๊ฐ ์ด์์์ ์ ์ฉํ๊ฒ ์ ์ฉ๋
์ ์์์ ์ฆ๋ช
ํ์๋ค.
๋ํ, ์ ์ํ ์๊ณ ๋ฆฌ์ฆ์ ์กฐ๊ฑด ๊ธฐ๋ฐ ๊ตฌ์กฐ๋ก ๊ตฌํ์ด ๊ฐ๋จํ๊ณ ์ฐ์ฐ๋์ด ์ ์ด์ ์ค์๊ฐ ์ ์ด์ ์ ํฉํ ์ฅ์ ์ด ์๋ค. ๊ทธ๋ฌ๋ ๋จ๊ธฐ์ ์ธ ์์ ๊ธฐ๋ฐ์ ์์ฌ ๊ฒฐ์ ์
์ด์ ์ ๋๊ธฐ ๋๋ฌธ์, ์ฅ๊ธฐ์ ์ธ ์ด์ฉ์ ์ต์ ํ๋ ๋ค๋ชฉ์ ์ ์ฝ ์กฐ๊ฑด์ ๊ณ ๋ คํ ๋ณตํฉ์ ์ธ ์ด์์์๋ ํ๊ณ๊ฐ ์๋ค.
ํฅํ ์ฐ๊ตฌ์์๋ ์์ธก๊ฐ์ ์ค์ฐจ๋ฅผ ํต๊ณ์ ์ผ๋ก ๋ชจ๋ธ๋งํ๊ณ , ์ด๋ฅผ ๋ฐ์ํ ํ๋ฅ ๊ธฐ๋ฐ ์ ์ด ์ ์ฝ ์กฐ๊ฑด ๋ฐ ๋ค๋ชฉ์ ํจ์ ๊ธฐ๋ฐ MPC(Model Predictive
Control) ์ ๋ต์ผ๋ก์ ํ์ฅ์ ํตํด ๊ณ ๋ํ๋ ์ ์ด ์๊ณ ๋ฆฌ์ฆ์ ์ค๊ณํจ์ผ๋ก์จ, ์์คํ
์ ์ ๋ขฐ์ฑ๊ณผ ์ด์ฉ ํจ์จ์ฑ์ ๋์ฑ ๋์ผ ์ ์์ ๊ฒ์ด๋ค. ์ด๋ฌํ
์์ธก ๊ธฐ๋ฐ ์ ์ด ๊ธฐ๋ฒ์ ์ฐ์
ํ์ฅ์ ์ค์ง์ ์ผ๋ก ์ ์ฉ์ด ๊ฐ๋ฅํ๋ฉฐ, ํ์ ์ฐ๊ตฌ๋ฅผ ํตํด ์ค๋งํธ ์๋์ง ์ด์ฉ ์ฒด๊ณ๋ก ๋ฐ์ ํ ์ ์๋ ๊ธฐ๋ฐ์ด ๋ ๊ฒ์ผ๋ก ๊ธฐ๋๋๋ค.
References
United Nations Framework Convention on Climate Change (UNFCCC), The Paris Agreement,
2015.

The Climate Group and CDP, RE100 Annual Disclosure Report 2023, 2024.

Ministry of Trade, Industry and Energy (MOTIE), Installation Guidelines for Energy
Storage Systems in Public Institutions, Sejong, Korea, 2023.

E. Lee and G. Kim, โAnalysis of domestic and international green infrastructure research
trends from the ESG perspective in South Korea,โ Int. J. Environ. Res. Public Health,
vol. 19, no. 12, pp. 7099, 2022.DOI:10.3390/ijerph19127099

S. Kim, S. Lee and S. Kim, โPolicy evaluation and enhanced operational strategies
for PV-linked ESS in Korea: Practical applications and insights from real-world data,โ
Energies, vol. 17, no. 16, pp. 3893, 2024.DOI:10.3390/en17163893

M. M. Alam, M. O. Ali, M. Shahjalal, B. Chung and Y. M. Jang, โOptimal energy management
among multiple households with integrated shared energy storage system (ESS),โ in
Proc. 2021 Twelfth Int. Conf. on Ubiquitous and Future Networks (ICUFN), pp. 399~404,
Jeju, Korea, 2021.DOI:10.1109/ICUFN49451.2021.9528536

S.-B. Lim, J.-K. Lee and J.-S. Kim, โDesign and experiment of PV+ESS+UPS integrated
power conversion system for energy independence,โ Journal of the Korean Institute
of Illuminating and Electrical Installation Engineers, vol. 36, no. 12, pp. 33~39,
2022.DOI:10.5207/JIEIE.2022.36.12.033.

P. Kumar, N. Malik and A. Garg, โComparative analysis of solar-battery storage sizing
in net metering and zero export systems,โ Energy for Sustainable Development, vol.
69, pp. 41~50, 2022.DOI:10.1016/j.esd.2022.05.008

S. Wang, G. Geng, Q. Jiang and R. Bo, โGeneration expansion planning considering discrete
storage model and renewable energy uncertainty: A bi-interval optimization approach,โ
IEEE Transactions on Industrial Informatics, vol. 19, no. 3, pp. 2973~2983, 2023.DOI:10.1109/TII.2022.3178997

Y. Ding, F. Sun, H. Xu, R. Wang, G. Geng and Q. Jiang, โOptimal allocation of shared
energy storage considering zonal power self-balancing,โ in Proc. 2024 6th International
Conference on Energy Systems and Electrical Power (ICESEP), Wuhan, China, pp. 353~358,
2024.DOI:10.1109/ICESEP62218.2024.10652107.

J.-M. Kim, J. Lee, J.-W. Kim, J. Yi and C.-Y. Won, โPower conversion system operation
to reduce the electricity purchasing cost of energy storage systems,โ Energies, vol.
14, no. 16, pp. 4728, 2021.DOI:10.3390/en14164728

Y.-H. Kim, G.-R. Han, S.-H. Han, H.-S. Lee, J.-M. Park and Y.-R. Kim, โThe methodology
of calculating the optimal ESS capacity according to PV power generation for grid-connected
PV-ESS system through optimal operation,โ Journal of the Korean Solar Energy Society,
vol. 41, no. 6, pp. 85~95, 2021.DOI:10.7836/kses.2021.41.6.085

W.-G. Park, J.-S. Kim, S.-M. Lim and C.-H. Kim, โA study on photovoltaic output prediction
uncertainty and intermittency compensation method,โ The Transactions of the Korean
Institute of Electrical Engineers, vol. 70, no. 7, pp. 961~968, Jul. 2021.DOI:10.5370/KIEE.2021.70.7.961

K. Greff, R. K. Srivastava, J. Koutnรญk, B. R. Steunebrink and J. Schmidhuber, โLSTM:
A search space odyssey,โ IEEE Transactions on Neural Networks and Learning Systems,
vol. 28, no. 10, pp. 2222~2232, 2017.DOI:10.1109/TNNLS.2016.2582924.

Y.-J. Jung, J.-H. Choi and S.-J. Ahn, โPV-ESS system operation strategy considering
the PV output prediction error,โ Journal of the Korean Institute of Illuminating and
Electrical Installation Engineers, vol. 31, no. 2, pp. 63~70, 2017. DOI:10.5207/JIEIE.2017.31.2.063

Y. Wu, Z. Liu, J. Liu, H. Xiao, R. Liu and L. Zhang, โOptimal battery capacity of
grid-connected PV-battery systems considering battery degradation,โ Renewable Energy,
vol. 180, pp. 396~409, 2021.DOI:10.1016/j.renene.2021.09.036

์ ์์๊ฐ
์ ์ฑ์(Seong-Soo Jeong)
Seong-Soo Jeong received a B.S degree from the College of Engineering, Sejong University,
Seoul, Korea in 2007. Since 2008, he joined Display Team, Control Software Group,
SEMES, Korea. He is currently pursuing a masterโs degree in the Power System Innovation
Laboratory at Sungkyunkwan University, Suwon, Korea. His research interests include
operation strategies for renewable-based energy storage systems and intelligent control
methods.
Chul-Hwan Kim (Mโ 90, SMโ 04, Fโ 22) received the B.S, M.S, and Ph.D. Degrees in electrical
engineering from Sungkyunkwan University, Suwon, Korea, in 1982, 1984, and 1990, respectively.
In 1990, he joined Jeju National University, Jeju, Korea, as a full-time lecturer.
He was a visiting academic with the University of Bath, Bath, U.K., in 1996, 1998,
and 1999. He has been a professor with the College of Information and Communication
Engineering, Sungkyunkwan University, since 1992, where he is currently the Director
of the Center for Power Information Technology. His fields of interest include power
system protection, artificial intelligence applications for protection and control,
and the modeling and protection of microgrids and DC systems.