서형빈
(Hyoungbin Seo)
1iD
김우용
(Wooyong Kim)
†iD
-
(Dept. of Energy & Chemical Engineering, Incheon National University, Republic of Korea.)
Copyright © The Korea Institute for Structural Maintenance and Inspection
Key words
Augmented Lagrangian Method, Building Energy Management System, Energy Management System, Energy Storage System, Fuzzy, Logic, Photo Voltaic, State of Charge, Weather
1. 서 론
지구온난화가 심해짐에 따라 우리나라 내부의 에너지 사용 방향도 달라지고 있다. 이에 이차전지(secondary battery)와 ESS(Energy
Storage System)은 에너지 저장 장치로서 주목받고 있다[1]. ESS는 용도에 따라 ESS 또는 BESS(Building Energy Storage System) 등 다양하게 불린다. ESS는 이차전지와 다르게
전력 단위가 크기 때문에, 에너지를 저장해두었다가 계통한계가격(System Marginal Price, SMP)에 따라 사용하게 된다[2].
ESS는 이차전지와 관리 시스템에 따라 사용하게 되는데 BMS(Battery Management System)처럼 EMS(Energy Management
System)을 사용하게 된다. 또한, ESS는 풍력, 조력, 태양광, 등 다양한 에너지 생산 시설과 함께 사용할 수 있으며 이런 연계 시스템은 날씨의
영향을 많이 받게 된다. 특히 태양광(Photo Voltaic, PV)발전을 연계하는 경우 구름의 유, 무에 의해 발전량의 차이가 심하게 나타나며
이는 ESS의 과충전, 과방전을 초래하게 된다[3]. 이에 따라 PV-ESS를 운용 시 날씨를 고려하기 위한 많은 연구들이 진행되고 있다. 사용하는 에너지를 최적으로 제어하기 위해 EMS를 AI(Artificial
Intelligence)를 이용하여 제어하는 방법이 주로 사용된다. 이때 AI는 날씨를 예측하는 방법으로 사용한다[4]. AI 기반 예측은 대규모 데이터 학습을 통해 높은 예측 정밀도와 장기적인 패턴 적응력을 확보할 수 있다는 장점이 있다. 그러나 모델 구조가 복잡해
내부 의사결정 과정을 해석하기 어렵고, 학습을 위해 상당한 비용과 지속적인 데이터베이스 구축·유지가 필요하다는 한계도 존재한다. AI를 사용하지 않고
날씨를 논리적으로 표현한다면 논리에 맞게 ESS의 과충전과 과방전을 제어할 수 있을 것으로 판단한다. 특히 퍼지 논리는 사람이 정의한 규칙과 소속도에
기반하므로 모델의 투명성이 확보되고, 별도의 대규모 학습 과정 없이 비교적 낮은 비용으로 운용할 수 있다는 장점이 있으나, 데이터 기반 AI에 비해
예측 정밀도와 장기 적응력 측면에서 제약이 있을 수 있다.
따라서 본 연구에서는 미래의 날씨를 퍼지논리화(fuzzification)하여 퍼지논리(fuzzy logic)에 따른 목표 SOC(State of
Charge)를 설정한다. 목표 SOC에 따라 운용되는 ESS의 전류량을 최적으로 제어하여 최대 수요 감소를 수행하면서 날씨를 고려하지 않았을 때
발생하는 과한 충전과 과한 방전을 방지할 수 있을 것으로 기대한다. 퍼지 논리란 애매모호함의 논리로서, 전통적인 0 또는 1의 이진 논리와 다르게
명확하게 정의하기 어려운 상태나 개념을 수치적 소속도를 통해 표현하는 논리를 의미한다[5].
날씨를 퍼지 논리를 통해 0 ~ 1의 범위에서 계산하고, SOC 또한 0 ~ 100%, 즉 0 ~ 1로 정규화하여 날씨와 SOC를 일대일 대응시킴으로써
ESS의 전력을 낭비 없이 사용하는 것을 본 연구의 목표로 한다. 이를 통해 앞으로 ESS의 운용에 관한 많은 연구에서 날씨라는 변수를 고려할 수
있는 방향을 제안하고자 한다.
2. 에너지 관리 시뮬레이션
시뮬레이션에 사용한 데이터는 충청남도 홍성군 홍북읍 (위도: 36.6349, 경도: 126.6670)에 위치한 KAIST 내포모빌리티 연구소의 2024년
9월부터 2025년 3월까지 태양광 발전을 통해 얻은 발전량 데이터를 사용한다.
지하 1층 ~ 지상 5층 규모의 건물이며, 소비량 또한 이 건물의 소비량을 사용한다. ESS가 없는 건물이기 때문에, ESS가 있는 것을 가정하고,
날씨를 고려하지 않은 최대 수요 감소를 수행하는 경우와 날씨를 고려한 최대 수요 감소를 수행하는 경우를 시뮬레이션으로 비교한다. 또한, 일주일 단위로
시계열 데이터를 분리하여 시뮬레이션 후 주간, 월간, 연간 기대효과를 확인할 수 있다. 이를 통해 궁극적으로는 전력의 공급과 수요의 합이 0이 되는
ZEB(Zero-Energy-Building)을 목표로 한다.
2.1 시뮬레이션 설정
이 건물의 7개월간 태양광 발전량과 건물의 전력 사용량을 평균적으로 확인하였을 때 표 1과 같이 용량과 전압, 그리고 ESS의 사용 범위를 가정할 수 있다.
표 1 시뮬레이션을 위한 기본 파라미터 설정
Table 1 Basic Parameter Settings for Simulation
|
Parameter
|
Value
|
|
Capacity
|
1000 kWh
|
|
Voltage
|
600 V
|
|
Depth of Discharge
|
30 ~ 80 %
|
|
Current
|
50 ~ 400 A
|
2024년 9월 ~ 2025년 3월 중 2024년 11월의 4주차를 비교를 위해 대한민국 기상청의 날씨 예보를 이용하여 시뮬레이션을 수행한다.
표 2의 기상 예보를 통해 11월 21일과 11월 22일의 PV 생산량을 직접 비교해 본다. 그림 1을 통해 맑은 날과 흐린 날의 PV 생산량을 비교할 수 있다. 맑은 날은 하루 동안의 PV 누적 생산량이 776 kWh 정도이지만, 흐린 날의 경우
하루 동안의 PV 누적 생산량이 362 kWh 정도이다.
이처럼 그림 1을 통해서 맑은 날과 흐린 날의 PV 생산량은 차이가 있다는 점을 알 수 있다. 따라서 흐린 날이 예정되었을 때 맑은 날의 활발한 PV 생산을 통해
ESS를 미리 충전한다면, 흐린 날의 저조한 PV 생산량을 ESS를 통해 보상할 수 있다.
표 2 2024년 11월 4주차의 주 단위 기상 예보
Table 2 Weather forecast for the fourth week of November 2024
그림 1. 흐린 날과 맑은 날의 PV 생산량 비교
Fig. 1. Comparison of PV Production to Cloudy weather and Sunny Weather
2.2 날씨 정보의 퍼지 논리화
날씨 중 일사량을 4개의 분위로 나눠 매우 흐림, 보통 흐림, 보통 맑음, 매우 맑음을 정의한다. 이를 0 ~ 1로 정규화하여 목표 SOC를 일대일
대응한다.
2.2.1 퍼지 멤버십 함수 정의
일사량 데이터를 식 (1)과 같이 표현한다. 이를 입력 변수로 설정하여 퍼지 그룹을 4개 분위로 나눈다. ‘매우 흐림, 보통 흐림, 보통 맑음, 매우 맑음’의 4개 분위로
나눈 후 일사량을 각각 분류한다.
식 (1)을 통해 나열한 일사량을 표 3과 같이 분류할 수 있다. irr(1), irr(2), irr(T)와 같은 값들은 일사량들을 의미하며 T는 일주일 단위로 분석하기 위해 7일을 시간으로
계산한 168이다.
4개의 그룹의 값들을 0 ~ 1 사이의 Gaussian 함수로 정규화한다. 이 과정은 식 (2)와 (3)을 통해 이루어지게 되고 이를 통해 각 분위의 중심값을 설정할 수 있다.
표 3 일사량의 퍼지 논리화를 위한 소속도 설정
Table 3 Membership function designed for the fuzzification of Solar irradiance
|
Irradiance [$MJ / m^{3}$]
|
Membership Group
|
|
2.31 ~ 3.50
|
1 (매우 맑음)
|
|
1.51 ~ 2.30
|
2 (보통 맑음)
|
|
0.81 ~ 1.50
|
3 (보통 흐림)
|
|
0.00 ~ 0.80
|
4 (매우 흐림)
|
식 (2)를 통해서 원래의 일사량 4개 분위를 0 ~ 1로 정규화한다. 이를 $irr_{no}(t)$로 표현한다. 이때 분모가 0이 되는 것을 방지하기 위해서
$\varepsilon = 10^{-8}$를 더해준다. 이후 소속도를 다시 분류하기 위해 식 (3)을 이용하여 0 ~ 1에 대한 4개 분위의 소속도를 결정한다.
식 (3)에서 $\delta_{i}(t)$는 시간에 대한 그룹 i에 대한 소속도를 의미하며 $c_{i}^{no}$는 그룹의 중심값에 해당한다. $\sigma$는
가우시안 함수의 퍼짐 정도를 의미하며, 본 연구에서 $\sigma = 0.25$를 사용하여 0 ~ 1을 4개 분위로 정규화하였다. 4개의 그룹을 정규화
이전과 동일하게 매우 맑음, 보통 맑음, 보통 흐림, 매우 흐림으로 나눈다.
2.2.2 디퍼지화(Defuzzification)를 통한 SOC 목표값 설정
2.2.1에서 선정한 4개의 그룹에 대응되는 SOC의 목표값을 설정한다. 목표값($lv_{i}$)은 0.3 ~ 0.8 범위에서 결정된다. 결정한 목표를
바탕으로 식 (4)에 나타난 디퍼지화를 통해 표 3을 완성할 수 있다.
식 (4)에서 좌변에 해당하는 목표 SOC는 이전에 설정한 4개 그룹에 대응하여 분류된다. 이는 $lv_{i}$인 목표값과 퍼지 그룹의 소속도($\delta_{i}(t)$)를
이용하여 계산한다. 계산 후 7일(주 단위)에 대한 이동평균으로 결정한다. 결과는 표 4와 같이 결정되게 된다.
표 4 일사량과 대응을 위한 목표 SOC 소속도 설정
Table 4 Membership function design for Target SOC based on Solar irradiance
|
State of Charge [%]
|
Irradiance Group
|
Membership
Group
|
|
30.0 ~ 42.5
|
1
|
1 (매우 낮은 목표)
|
|
42.6 ~ 55.0
|
2
|
2 (낮은 목표)
|
|
55.1 ~ 67.5
|
3
|
3 (높은 목표)
|
|
67.6 ~ 80.0
|
4
|
4 (매우 높은 목표)
|
이 과정을 통해 일사량을 퍼지 논리화하여 목표 SOC를 설정할 수 있다.
2.3 한국전력 TOU 요금표
경제적으로 이점이 있는지를 판단하기 위해 2025년 1월, 한국전력(KEPCO)에서 공지한 전기 요금표를 참고하여 시간대별 요금을 적용하여 계산하였다.
이를 표 5에 나타내었다.
표 5 계절별 부하 시간대와 시간대별 전력량 요금 구분, 한국전력
Table 5 Seasonal Time-of-use pricing structure and Load period definitions of KEPCO
|
기본 요금
|
TOU(Time of Use) [원 / kWh]
|
|
시간대
|
여름철
(6~8월)
|
봄/가을철
(3~5월, 9~10월)
|
겨울철
(11~2월)
|
|
8,320
|
경부하
|
87.30
|
87.30
|
94.30
|
|
중간부하
|
140.2
|
109.8
|
140.4
|
|
최대부하
|
222.3
|
140.5
|
197.9
|
|
계절별
부하 시간대
|
시간대
|
여름철
(6~8월)
|
봄/가을철
(3~5월, 9~10월)
|
겨울철
(11~2월)
|
|
경부하
|
22:00~08:00
|
22:00~08:00
|
22:00~08:00
|
|
중간부하
|
08:00~11:00
12:00~13:00
18:00~22:00
|
08:00~11:00
12:00~13:00
18:00~22:00
|
08:00~09:00
12:00~16:00
19:00~22:00
|
|
최대부하
|
11:00~12:00
13:00~18:00
|
11:00~12:00
13:00~18:00
|
09:00~12:00
16:00~19:00
|
3. 시뮬레이션 최적화 모델 설정
날씨의 퍼지 논리화를 통한 목표 SOC를 설정하고 목표 SOC를 위한 구동을 위해 최적 저항과 최적 전류를 계산하여 시뮬레이션을 수행한다.
3.1 Objective Function
ESS를 구동하면서 발생하는 전기요금을 최소화하기 위해서 설정한 목적함수는 식 (5)와 같다.
식 (5)에서의 T는 2.3의 한국전력의 월별, 시간별 전기요금(TOU)을 의미한다. J는 전류 I에 대한 ESS 구동 요금에 해당하며 I는 범위 내에서 결정된다.
시간에 따라 사용량과 손실의 차를 최소화하는 것을 목적으로 한다.
3.2 Constraint Conditions
전력 사용량과 손실량의 계산에 사용되는 전류는 제약이 있는 상태이기 때문에 제약이 있는 최적화 문제에서 사용하는 KKT(Karush-Kuhn-Tucker
Conditions) 조건을 설정할 수 있다.
3.2.1 Stationary Condition
목적함수가 정의되기 위해서 보존을 위해 목적함수에 페널티 항을 추가한 식의 I에 대한 편미분이 0이 되는 조건을 정의한다. 이는 식 (6)과 같다.
식 (6)에서 $C$는 ESS의 용량을 의미한다. $\lambda_{t}^{1}$는 최대 전류에 해당하는 라그랑주 승수를 의미하며 $\lambda_{t}^{2}$는
최소 전류에 해당하는 라그랑주 승수를 의미한다. $\mu_{k}$와 $\nu_{k}$는 각각 최대 SOC와 최소 SOC에 해당하는 제약 조건에 대한
라그랑주 승수이다.
3.2.2 Dual Feasibility
3.2.1에서 언급한 라그랑주 승수들은 반드시 식 (7)의 조건을 만족해야 한다. 전류는 충, 방전의 방향에 따라 양수와 음수로 구분될 수 있지만 절대적인 값이 음수가 될 수 없고 SOC 또한 음수가 될
수 없으므로 식 (7)의 조건을 추가하게 된다. 이를 통해 전류와 SOC에 대한 제약이 활성화될 수 있는 조건을 형성하게 된다.
3.2.3 Complementary Slackness
전류와 SOC는 제약이 있는 조건이기 때문에 3.2.2에서 설정한 경계에 도달하여 활성화된 경우에만 식 (7)에서 언급한 라그랑주 승수들이 0보다 큰 조건이 된다. 또한 식 (8)은 조건에 따라 0이 될 수 있다. 따라서 상보성 조건을 식 (8)과 같이 작성할 수 있다. 이 조건을 통해 전류가 결정되고 결정된 전류를 통해 SOC를 결정하게 된다.
3.2.4 Primal Feasibility
전류는 최소 전류(50A) ~ 최대 전류(400A)의 범위 내에서 결정되고, SOC는 30~80%에서 결정된다. 이는 식 (9)와 식 (10)으로서 표현할 수 있다. 식 (9)에서 결정한 전류가 식 (10)에 대입되고 이를 통해 SOC를 결정할 수 있다.
3.3 Algorithm of Optimization
날씨를 고려하여 PV-ESS 연계 시스템을 운용하는 과정의 전체적인 흐름은 그림 2와 같다. 2.2를 통해 일사량을 퍼지 논리화하고 ESS의 최적 운용의 변수로서 고려한다.
그림 2. 전체 시스템의 흐름도
Fig. 2. Overall system flow chart
표 6 ESS 운용 알고리즘
Table 6 Optimal Operation Algorithm for ESS with Fuzzification
4. 시뮬레이션 결과
시뮬레이션을 통해 날씨를 고려하지 않고 시간대 최대 수요 감소 스케줄링을 수행하는 경우와 날씨를 고려하여 최적 운용을 한 경우의 일주일간의 전류 변화를
그림 4를 통해 확인할 수 있다. 그림 3을 통해 [11월 4주차의 20일과 21일(80~120 부근)]에서 흐린 날의 전류 패턴이 맑은 날 [22일(120~140 부근)]과 차이가 있다는
것을 알 수 있다. 날씨를 고려하지 않는 경우는 최대 100A 이상의 방전 전류와 80A의 충전 전류를 보인다. 하지만 날씨를 고려한 경우, 맑은
날과 흐린 날의 충전량과 방전량의 차이를 확인할 수 있다. 20일과 21일의 경우 방전량이 미미하지만, 22일의 경우는 방전량이 흐린 날보다 많다는
것을 확인할 수 있다.
그림 3. (a): 날씨를 고려하지 않은 경우와 날씨를 고려한 경우의 전류 패턴 비교 (b): (a)를 확대한 그래프(24년 11월 20~22일)
Fig. 3. (a) Comparison of ESS operation current patterns without weather-adaptive
control and with weather-adaptive control (b): enlarged view of (a) for November 20~22,
2024.
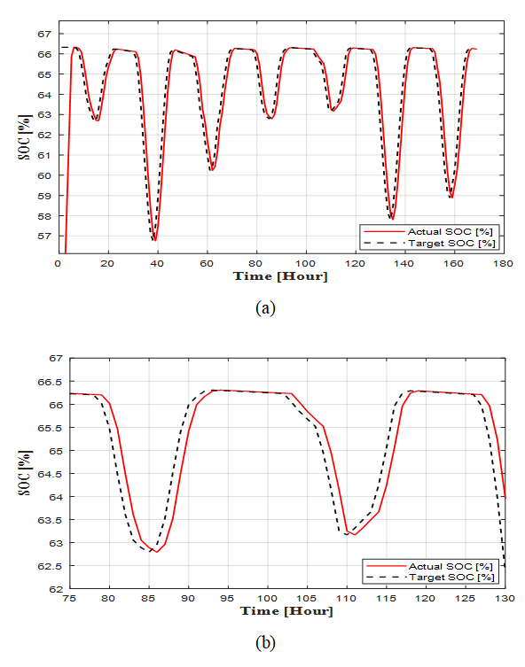
이런 전류 패턴의 결과는 그림 4와 그림 5를 통해 SOC(State of Charge) 변화량의 차이로도 확인할 수 있다. 시뮬레이션에 적용한 11월 4주차의 20일과 21일, 모두 날씨가
흐리지만, 날씨를 고려하지 않고 최대 수요 절감을 위한 시간대 스케줄링으로 운용한다면 최대 10%의 ESS 방전을 보였다.
그림 4. 날씨를 고려하지 않은 ESS 운용 SOC 프로파일
Fig. 4. SOC profile without weather-adaptive control
그림 5. 날씨를 고려한 목표 SOC와 실제 SOC의 프로파일
Fig. 5. SOC profile based on weather-adaptive control
날씨를 고려한 SOC는 흐린 날과 맑은 날인 11월 21일, 22일을 비교하였을 때 흐린 날은 약 3.6%의 ESS 방전을 보였다. ESS 운용 시
날씨를 고려했을 때, 논리적으로 설정된 목표에 따라 운용되기 때문에 SOC의 감소가 크지 않았다. 이는 방전량이 적었음을 의미한다.
이를 이용하여 실제 방전량을 비교한다면, 그림 6과 같은 결과를 확인할 수 있다. 날씨를 고려하지 않았을 때 방전량의 수요가 크지만, 날씨를 고려한다면 그림 5의 목표 SOC를 통해 방전량이 조절되는 것을 확인할 수 있다.
날씨를 고려하여 ESS를 운용한다면 그림 7과 같은 최대 수요 절감을 수행할 수 있다. 이는 최대 수요의 약 30%정도를 ESS로 충당하는 결과이다. 이를 통해 주 단위의 ESS 사용과 실제
전기 사용량을 합산한 전기요금을 계산할 수 있다. 연구소 건물의 특성으로 인해 주중 전력 사용과 주말 전력 사용에는 큰 차이가 없으나, 09시~18시의
전력 사용량이 두드러지게 많다는 것을 그림 7을 통해 확인할 수 있다.
전기요금을 계산하기 위해 식 (11)을 이용한다.
ESS를 운용함으로써 절감된 소비량을 TOU와 곱해 ESS가 아닌 전력을 사용하는 요금을 계산하고 이 값에 ESS를 운용하여 발생하는 비용을 더해주면
전기요금을 계산할 수 있다. 이때 충전량과 방전량은 각각 날씨를 고려할 때와 고려하지 않을 때의 값들을 넣어 계산한다. 이를 통해 계산한 날씨를 고려한
조건에서의 ESS 운용 전기요금은 11월 4주차 기준 911,008원이다. 그러나, ESS를 운용할 때 날씨를 고려하지 않는 조건에서의 전기요금은
1,271,116원이다. 이를 단순히 확장하여 월 단위, 년 단위로 확장하였을 때의 기댓값은 1년에 약 15,000,000원의 절감효과를 기대할 수
있다.
그림 6. 날씨를 고려하지 않은 ESS 방전량과 날씨를 고려한 ESS 방전량
Fig. 6. ESS discharge profile without weather-adaptive control, ESS discharge profile
with weather-adaptive control
그림 7. 날씨를 고려하여 수행한 최대 수요 절감
Fig. 7. Peak demand reduction achieved under weather-adaptive control
5. 결 론
본 연구에서는 동일한 조건에서의 ESS 운용 상황에서 날씨라는 변수를 추가하여 날씨의 퍼지 논리화를 통해 목표 SOC를 설정하고 목표 SOC에 의해
ESS를 운용하는 것을 시뮬레이션하였다. 날씨를 ESS 운용 시 변수로서 고려한다면 ESS의 과한 충전과 과한 방전을 막을 수 있고, 이는 곧 ESS의
수명 연장과 전기요금의 절감으로 이어질 수 있다는 것을 확인할 수 있었다. 그러나 실제 전력시장은 SMP 변동, 계통 혼잡, 계통 연계 제약 등 다양한
요인에 의해 영향을 받으므로 본 논문에서 제시하는 방법 한 가지로는 전부 고려할 수 없다는 한계를 가진다. 하지만 본 논문에서 제시하는 방법으로 날씨를
퍼지 논리로 해석하여 ESS 운용에 적용하는 경우 전력 사용량 감소 부분에서는 확실한 이득을 가질 수 있을 것으로 기대한다.
본 연구의 방법은 계산량이 많아 매 7일 단위로 끊어 계산 후 적용하는 것으로 장기적인 측면에서 한계가 존재한다. 또한, 기상청 데이터의 신뢰도가
100%이어야 한다는 점, 한 연구소 건물의 데이터로 검증했다는 점에서 한계가 있다. 그러나, 결과적으로 날씨를 수학적으로 해석하여 PV-ESS 운용을
최적화함으로써 다양한 ESS의 운용 방식에 긍정적인 영향을 미칠 것으로 기대된다.
References
S. Choi and S.-W. Min, “Optimal scheduling and operation of the ESS for prosumer market
environment in grid-connected industrial complex,” IEEE Transactions on Industry Applications,
vol. 54, no. 3, pp. 1949-1957, 2018.DOI:10.1109/TIA.2018.2794330

A. Anvari-Moghaddam, H. Monsef and A. Rahimi-Kian, “Cost-effective and comfort-aware
residential energy management under different pricing schemes and weather conditions,”
Energy and Buildings, vol. 86, pp. 782-793, 2015.DOI:10.1016/j.enbuild.2014.10.017

K. Chaudhari, A. Ukil, K. N. Kumar, U. Manandhar and S. K. Kollimalla, “Hybrid optimization
for economic deployment of ESS in PV-integrated EV charging stations,” IEEE Transactions
on Industrial Informatics, vol. 14, no. 1, pp. 106-116, 2018.DOI:10.1109/TII.2017.2713481

Z. Liu, Y. Gao and B. Liu, “An artificial intelligence-based electric multiple units
using a smart power grid system,” Energy Reports, vol. 8, pp. 13376-13388, 2022.DOI:10.1016/j.egyr.2022.09.138

L. A. Zadeh, “Fuzzy Logic,” Computer, vol. 21, no. 4, pp. 83-93, Apr. 1988.DOI:10.1109/2.53.

Xiaolong Xiao, MingmingShi, FanWu, YukaiWei, BoZhaoand FangZhang, “Optimal Configuration
of ESS in Distribution Network Considering Generation of PV-Load Time SeriesScenarios,”
IEEE Access, Early Access., pp. 1-17, 2024.DOI:10.1109/ACCESS.2024.3392390

Jorge Nocedaland Stephen J. Wright, “Numerical Optimization, Quadratic Programming,”
Springer Series in Operations Research, 2nd ed., pp. 548-597, 2006.DOI:10.1007/978-0-387-40065-5_16

J. Y. Cho and I. H. Ra, “A Case Study on Operation of Energy Management System Connected
with Renewable Energy,” Smart Media Journal, vol. 7, no. 2, pp. 71-78, Jun. 2018.DOI:10.30693/SMJ.2018.7.2.71

J. Y. Lee, H. Y. Choi, Y. J. No, E. H. Park, “Study on the Charging·Discharging
Algorithm of ESS and Selecting the Optimum ESS Capacity Connected with PV
System,” Proc. Korean Inst. Elect. Eng. Summer Conf., pp. 1388-1391, Jul. 2020.

K. H. Cho, S. K. Kim, H. C. Jo, W. B. Son, E. S. Kim and J. H. Park, “Techno-Economic
Evaluation Software for Optimal Business Model and Sizing of Photovoltaic Power Station-Linked
Energy Storage System,” Trans. Korean Inst. Elect. Eng., vol. 69, no. 9, pp. 1338-1348,
Sep. 2020.DOI:10.5370/KIEE.2020.69.9.1338

J. Y. Eum and Y. K. Kim, “Economical Analysis of the PV-linked Residential ESS using
HOMER in Korea,” J. Korea Academia-Industrial Cooperation Society, vol. 20, no. 2,
pp. 36-42, Feb. 2019.DOI:10.5762/KAIS.2019.20.2.36

C. Chen, S. Duan, T. Cai, B. Liu and G. Hu, “Optimal allocation and economic analysis
of energy storage system in microgrids,” IEEE Transactions on Power Electronics, vol.
26, no. 10, pp. 2762-2773, 2011.DOI:10.1109/TPEL.2011.2116808

S. Shao, J. Guan, X. Wang, W. He and Z. Wu, “Balancing the GHG emissions and operational
costs for a mixed fleet of electric buses and diesel buses,” Applied Energy, vol.
328, pp. 120188, 2022.DOI:10.1016/j.apenergy.2022.120188

D. Tenfen and E. C. Finardi, “A mixed integer linear programming model for the energy
management problem of microgrids,” Electric Power Systems Research, vol. 122, pp.
19-28, 2015.DOI:10.1016/j.epsr.2014.12.019

저자소개
Currently an undergraduate student in the Department of Energy & Chemical Engineering
at Incheon National University, South Korea. He is also pursuing a minor in Electronic
Engineering. His research interests include energy management systems and battery
degradation and thermal safety analysis.
Graduated with a B.S. degree in Mechanical System Design Engineering from Seoul
National University of Science and Technology in 2014. Completed a M.S. degree
in mechanical engineering from the Korea Advanced Institute of Science and Technology
(KAIST) in 2016. Earned a Ph.D. in Mechanical Engineering from KAIST in 2020. From
2020 to 2021, worked as a Postdoctoral Researcher at the KAIST Environmentally
Friendly Smart Vehicle Research Center. From 2021 to 2024, served as an Assistant
Professor in the Department of Robotics Engineering at Hoseo University. Since 2024,
currently serving as an Assistant Professor in the Department of Biomedical &
Robotics Engineering at Incheon National University. His research interests include
the design of state observers for onboard battery management systems and the
development of fault diagnosis algorithms.